美罗培南MeiluopeinanMeropenem 
C
17H
25N
3O
5S?3H
2O 437.51
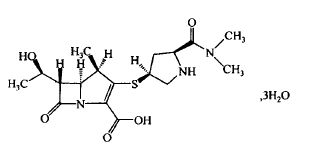
本品为(-)-(4R,5S,6S)-3-[(3S,5S)-5-(二甲基胺酰基)-3-吡咯烷]硫-6-[(1R)-l-羟乙基]-4-甲基-7-氧-1-氮杂双环[3.2.0]庚-2-烯-2-羧酸三水合物。按无水物计算,含美罗培南(按C
17H
25N
3O
5S计)应不少于98.0%。
【性状】本品为白色至微黄色结晶性粉末;无臭。
本品在甲醇中溶解,在水中略溶,在丙酮、乙醇或乙醚中不溶;在0.1mol/L氢氧化钠溶液中溶解,在0.1mol/L盐酸溶液中略溶。
比旋度取本品适量,精密称定,加水溶解并定量稀释制成每1ml中约含10mg的溶液,依法测定(通则0621),比旋度应为一17°至一21°。
【鉴别】(1)在含量测定项下记录的色谱图中,供试品溶液主峰的保留时间应与对照品溶液主峰的保留时间一致。
(2)本品的红外光吸收图谱应与对照的图谱(光谱集997图)一致。
【检查】结晶性取本品,依法检查(通则0981),应符合规定。
酸度取本品,加水制成每1ml中含10mg的溶液,依法测定(通则0631),pH值应为4.0~6.0。
溶液的澄清度与颜色取本品5份,分别加入澄清的2%碳酸钠溶液制成每1ml中含0.1g的溶液,溶液应澄清无色;如显浑浊,与1号浊度标准液(通则0902第一法)比较,均不得更浓;如显色,与黄色或黄绿色5号标准比色液(通则0901第一法)比较,均不得更深。
有关物质取本品,加0.1%三乙胺溶液[取三乙胺1.0ml,加水900ml,用磷酸溶液(1→10)调节pH值至5.0士0.1,加水稀释至1000ml]溶解并稀释制成每1ml中含5mg的溶液,作为供试品溶液;精密量取适量,用0.1%三乙胺溶液定量稀释制成每1ml中含25ug的溶液,作为对照溶液。照含量测定项下的色谱条件,精密量取供试品溶液和对照溶液各10μl,分别注入液相色谱仪,记录色谱图至主成分峰保留时间的3.5倍。供试品溶液色谱图中如有杂质峰,主峰前最大杂质峰面积和主峰后最大杂质峰面积均不得大于对照溶液主峰面积的0.6倍(0.3%),其他单个杂质峰面积不得大于对照溶液主峰面积的0.2倍(0.1%),各杂质峰面积的和不得大于对照溶液主峰面积的2倍(1.0%)。供试品溶液色谱图中小于对照溶液主峰面积0.1倍的峰忽略不计。
残留溶剂取本品约0.4g,精密称定,置10ml量瓶中,精密加入内标溶液(取乙醇适量,精密称定,加水制成每1ml约含1mg的溶液)2ml,用1%碳酸钠溶液溶解并稀释至刻度,摇匀。精密量取5ml,置顶空瓶中,密封,作为供试品溶液;取丙酮、乙腈、二氯甲烷、乙酸乙酯、四氢呋喃各适量,精密称定,加水定量稀释制成每1ml中分别约含1.0mg,0.5mg、0.3mg、0.5mg、0.3mg的混合溶液。精密量取5ml,置50ml量瓶中,精密加入内标溶液10ml,用水稀释至刻度,摇匀,得每1ml中分别约含乙醇、丙酮、乙腈、二氯甲烷、乙酸乙酯、四氢呋喃为0.2mg、0.1mg、0.05mg、0.03mg、0.05mg、0.03mg的混合溶液。精密量取5ml,置顶空瓶中,密封,作为对照品溶液,照残留溶剂测定法(通则0861第一法)测定。以6%氰丙基苯基-94%二甲基聚硅氧烷(或极性相近)为固定液的毛细管柱为色谱柱;柱温为50℃;进样口温度为140℃,检测器温度为250℃;顶空瓶平衡温度为90℃,平衡时间为30分钟,取对照品溶液顶空进样,记录色谱图,出峰顺序依次为乙醇、丙酮、乙腈、二氯甲烷、乙酸乙酯、四氢呋喃,各色谱峰间的分离度均应符合要求。取供试品溶液和对照品溶液分别顶空进样,记录色谱图,按内标法以峰面积比值计算,丙酮、乙腈、二氯甲烷、乙酸乙酯与四氢呋喃的残留量均应符合规定。
水分取本品,照水分测定法(通则0832第一法1)测定,含水分应为11.4%~13.4%。
炽灼残渣取本品1.0g,依法检查(通则0841),遗留残渣不得过0.2%。
重金属取炽灼残渣项下遗留的残渣,依法检查(通则0821第二法),含重金属不得过百万分之十。
可见异物取本品5份,每份各0.5g,加2%碳酸钠溶液(经0.45um滤膜滤过)溶解,依法检查(通则0904),应符合规定。(供无菌分装用)
不溶性微粒取本品3份,加2%碳酸钠溶液(经0.45μm滤膜滤过)制成每1ml中含50mg的溶液,依法检查(通则0903),每1g样品中,含10μm及10μm以上的微粒不得过6000粒,含25μm及25μm以上的微粒不得过600粒。(供无菌分装用)
细菌内毒素取本品适量,依法检查(通则1143),每1mg美罗培南(按C17H25N3O5S计)中含内毒素的量应小于0.12EU。(供注射用)
无菌取本品,加2%无菌碳酸钠溶液(每1g美罗培南,按C17H25N3O5S计,加12.5ml)充分溶解,再加0.1%无菌蛋白胨水溶液稀释成每1ml中含20mg的溶液,经薄膜过滤法处理,用0.1%无菌蛋白胨水溶液分次冲洗(每膜不少于500ml),每管培养基中加入不少于300万单位的青霉素酶,以金黄色葡萄球菌为阳性对照菌,依法检查(通则1101),应符合规定。(供无菌分装用)
【含量测定】照高效液相色谱法(通则0512)测定。
色谱条件与系统适用性试验用十八烷基硅烷键合硅胶为填充剂;以有关物质项下的0.1%三乙胺溶液-乙腈(93.5:6.5)为流动相;检测波长为220nm。取美罗培南对照品溶液适量,置水浴中加热1小时,取10μl注入液相色谱仪,记录色谱图,美罗培南峰保留时间约为7分钟,出峰顺序依次为美罗培南开环物、美罗培南,美罗培南峰与美罗培南开环物峰间的分离度应符合要求。
测定法取本品适量,精密称定,加上述0.1%三乙胺溶液溶解并定量稀释制成每1ml中约含0.5mg的溶液,作为供试品溶液,精密量取10μl注入液相色谱仪,记录色谱图;另取美罗培南对照品适量,同法测定。按外标法以峰面积计算,即得。
【类别】β-内酰胺类抗生素。
【贮藏】密封,在凉暗干燥处保存。
【制剂】注射用美罗培南
关键字: