萝巴新LuobaxinRaubasine 
C
21H
24N
2O
3 352.43
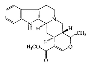
本品为(19α)-16,17-双脱氢-19-甲基噁育亨烷-16-羧酸甲酯。按干燥品计算,含C
21H
24N
2O
3 不得少于98.5%。
【性状】本品为白色至微黄色粉末;无臭。
本品在三氯甲烷中溶解,在甲醇、乙醇或丙酮中微溶,在水中几乎不溶。
比旋度 取本品,精密称定,加三氯甲烷溶解并定量稀释制成每1ml中约含2.5mg的溶液,依法测定(通则0621),比旋度为一57°至一67°。
【鉴别】(1)取本品约5mg,加稀硫酸2ml使溶解,加碘化铋钾试液1滴,即生成橙红色沉淀。
(2)取本品,加乙醇制成每1ml中约含4μg的溶液,照紫外-可见分光光度法(通则0401)测定,在227nm的波长处有最大吸收。
(3)本品的红外光吸收图谱应与对照的图谱(光谱集1044 图)一致。
【检查】有关物质 取本品,加流动相溶解并稀释制成 每1ml中约含0.1mg的溶液,作为供试品溶液;精密量取适量,用流动相定量稀释制成每1ml中含1μg的溶液,作为对照溶液。照高效液相色谱法(通则0512)试验,用十八烷基硅烷键合硅胶为填充剂,以甲醇-水(85:15)(每1000ml中加二乙胺5μl)为流动相,检测波长为222nm,理论板数按萝巴新峰计算不低于900。精密量取供试品溶液与对照溶液各20μl,分别注入液相色谱仪,记录色谱图至主成分峰保留时间的2倍。 供试品溶液色谱图中如有杂质峰,单个杂质峰面积不得大于对照溶液主峰面积的0.5倍(0.5%),各杂质峰面积的和不得大于对照溶液主峰面积(1.0%)。
残留溶剂 取本品,精密称定,加N,N-二甲基甲酰胺溶解并稀释制成每1ml中含20mg的溶液,照残留溶剂测定法 (通则0861)测定,三氯甲烷的残留量应符合规定。
干燥失重 取本品,在105℃干燥至恒重,减失重量不得过 0.5%(通则 0831)。
炽灼残渣 取本品1.0g,依法检查(通则0841),遗留残渣不得过0.1%。
重金属 取炽灼残渣项下遗留的残渣,依法检查(通则 0821第二法),含重金属不得过百万分之二十。
【含量测定】取本品约0.3g,精密称定,加冰醋酸20ml溶解后,加结晶紫指示液1滴,用高氯酸滴定液(0.1mol/L)滴定至溶液显纯蓝色,并将滴定结果用空白试验校正。每1ml 高氯酸滴定液(0.1mol/L)相当于35. 24mg的C
21H
24N
2O
3 。
【类别】脑代谢改善药。
【贮藏】遮光,密封,在阴凉处保存。
关键字: