您现在位置:兽药智库> 人药标准> 中国药典2015年版> 浏览文章
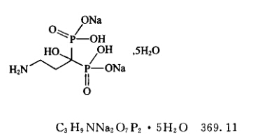
帕米膦酸二钠
Pamilinsuan’erna
Pamidroonate Disodium


本品为3-氨基-1-羟基丙叉二膦酸二钠五水合物。按干燥品计算,含C3H9NNa2O7P2不得少于98.0%。
【性状】本品为白色结晶或结晶性粉末;无臭;略有引湿性。
本品在水中溶解,在乙醇中不溶;在氢氧化钠试液中 易溶。
【鉴别】(1)取本品约10mg,加水2ml,加热使溶解,加茚三酮2mg,加热,溶液显蓝色至紫蓝色。
(2)本品的红外光吸收图谱应与对照的图谱(光谱集778图)一致。
(3)本品显钠盐的鉴别反应(通则0301)。
(4)取本品约0.1g,置坩埚中加无水碳酸钠2g,混匀,加热熔融后,放冷,加水10ml使溶解,滤过,滤液加硝酸使呈酸性后,显磷酸盐的鉴别反应(通则0301)。
【检查】碱度 取本品1.0g,加水50ml溶解后,依法测定(通则0631) ,pH值应为7.3~8.3。
溶液的澄清度与颜色 取本品1.0g,加水25ml溶解后,溶液应澄清无色。
亚磷酸盐 取本品约3.2g,精密称定,置250ml碘瓶中,加水70ml使溶解,加磷酸盐缓冲液(pH7.3)(取磷酸二氢钠6.9g,加水溶解制成500ml,加0.1mol/L氢氧化钠溶液400ml,摇匀)20ml,用6mol/L醋酸溶液调节pH值至7.3±0.2,精密加碘滴定液(0.05mol/L)20ml,摇匀,密塞,在暗处静置1小时后,加6mol/L醋酸溶液0.5ml,立即用硫代硫酸
钠滴定液(0.1mol/L)滴定,至近终点时,加淀粉指示液2ml,继续滴定至蓝色消失,并将滴定的结果用空白试验校正。每1ml碘滴定液(0.05mol/L)相当于5.2mg的NaH2PO3。含NaH2PO3不得过0.5%。
β-丙氨酸 取本品,精密称定,加水溶解并定量稀释制成每1ml中约含3.0mg的溶液,精密量取2ml,置10ml量瓶中,加水3ml、5%碳酸钠溶液1.0ml与2,4-二硝基氟苯乙腈溶液(取2,4-二硝基氟苯适量,加乙腈溶解并稀释制成每1ml含2,4-二硝基氟苯15mg的溶液)2.0ml,摇匀,在40℃水浴中反应2小时后取出,放冷,用水稀释至刻度,摇匀,作为供试品溶液;另取β-丙氨酸对照品,精密称定,加水溶解并定量稀释制成每1ml中约含9μg的溶液,精密量取2ml,同法制成对照品溶液。照高效液相色谱法(通则0512)试验,用十八烷基硅烷键合硅胶为填充剂,以0.01mol/L磷酸二氢钾缓冲液(用氢氧化钠溶液调节pH至7.0)-甲醇(70:30)为流动相,柱温40℃,检测波长为360nm,理论板数按β-丙氨酸衍生物峰计算不低于2000。精密量取供试品溶液与对照品溶液各10μl,分别注入液相色谱仪,记录色谱图。供试品溶液的色谱图中如有与β-丙氨酸衍生物峰保留时间一致的色谱峰,按外标法以峰面积计算,不得过0.3%。
干燥失重 取本品约0.5g,在160℃干燥20小时,减失重量应为23.0%~25.0%(通则0831)。
重金属 取本品1.0g,加水23ml溶解后,加醋酸盐缓冲液(pH3.5)2ml,依法检查(通则0821第一法),含重金属不得过百万分之十。
【含量测定】取本品约0.25g,精密称定,加水70ml溶解后,照电位滴定法(通则0701),用盐酸滴定液(0.1mol/L)滴定 并将滴定的结果用空白试验校正。每1ml盐酸滴定液(0.1mol/L)相当于27.91mg的C3H9NNa2O7P2
【类别】钙调节药。
【贮藏】密封保存。
【制剂】帕米膦酸二钠注射液
关键字:
上一篇: 帕司烟肼
下一篇:帕米膦酸二钠注射液
网友留言
相关文章
  • 暂无相关信息!