盐酸哌替啶Yansuan PaitidingPethidine Hydrochloride 
C
15H
21NO
2.HCl 283.80
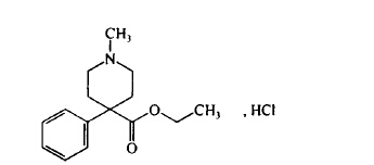
本品为1-甲基-4-苯基-4-哌啶甲酸乙酯盐酸盐。按干燥品计算,含C
15H
21NO
2.HCl不得少于99.0%。
【性状】 本品为白色结晶性粉末;无臭或几乎无臭。
本品在水或乙醇中易溶,在三氯甲烷中溶解,在乙醚中几乎不溶。
熔点 本品的熔点(通则 0612)为186~190℃。
【鉴别】(1)取本品约50mg,加乙醇5ml溶解后,加三硝基苯酚的乙醇溶液(1→30)5ml,振摇,即析出黄色结晶性沉淀;放置,滤过,沉淀用水洗净后,在105℃干燥2小时,依法测定(通则 0612),熔点为188~191℃。
(2)取本品约50mg,加水5ml溶解后,加碳酸钠试液2ml,振摇,即生成油滴状物。
(3)本品的红外光吸收图谱应与对照的图谱(光谱集 376图)一致。
(4)本品的水溶液显氯化物鉴别(1)的反应(通则 0301)。
【检查】酸度 取本品0.30g,加水10ml溶解后,依法测定(通则 0631),pH值应为4.5~5.5。
溶液的澄清度与颜色 取本品0.10g,加水5ml溶解后,溶液应澄清无色。
有关物质 取本品适量,加流动相溶解并定量稀释制成每1ml中约含1mg的溶液,作为供试品溶液;精密量取1ml,置100ml量瓶中,用流动相稀释至刻度,摇匀,作为对照溶液。照高效液相色谱法(通则 0512)试验,用硅胶为填充剂;以0.0025mol/L庚烷磺酸钠溶液-0.05mol/L磷酸二氢钾溶液-乙腈(3:3:1)(用氢氧化钠试液调节pH值至5.0士0.1)为流动相;检测波长为210nm。理论板数按哌替啶峰计算不低于2000,哌替啶峰与相邻杂质峰的分离度应符合要求。精密量取对照溶液与供试品溶液各10μl,分别注入液相色谱仪,记录色谱图至主成分峰保留时间的3倍。供试品溶液的色谱图中如有杂质峰,单个杂质峰面积不得大于对照溶液主峰面积的0.5倍(0.5%),各杂质峰面积的和不得大于对照溶液主峰面积(1.0%)。
干燥失重 取本品,在105℃干燥至恒重,减失重量不得过1.0%(通则 0831)。
炽灼残渣 不得过0.1% (通则 0841)。
【含量测定】取本品约0.25g,精密称定,加冰醋酸10ml与醋酸汞试液5ml使溶解,加结晶紫指示液1滴,用高氯酸滴定液(0.1mol/L)滴定至溶液显蓝绿色,并将滴定的结果用空白试验校正。每1ml高氯酸滴定液(0.1mol/L)相当于28.38mg的C
15H
21NO
2.HCl。
【类别】镇痛药。
【贮藏】密封保存。
【制剂】(1)盐酸哌替啶片(2)盐酸哌替啶注射液
关键字:盐酸