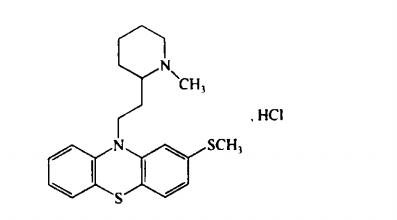
盐酸硫利达嗪Yansuan LiulidaqinThioridazine Hydrochloride 
C
21H
26N
2S
2.HCl 407. 04
本品为10-[2-(l-甲基-2-哌啶基)乙基]-2-甲硫基吩噻嗪盐酸盐。按干燥品计算,含C
21H
26N
2S
2.HCl不得少于99.0%。
【性状】本品为白色或类白色的结晶性粉末;微臭。
本品在三氯甲烷中易溶,在乙醇或水中溶解,在乙醚中几乎不溶。
熔点 本品的熔点(通则0612)为159~165℃,熔距不得超过2℃。
【鉴别】(1)取本品约5mg,加硫酸2ml使溶解,溶液显蓝色。
(2)取本品,加乙醇制成每1ml中约含8μg的溶液,照紫外-可见分光光度法(通则0401)测定,在264nm与315nm的波长处有最大吸收。
(3)本品的红外光吸收图谱应与对照图谱(光谱集1034 图)一致。
(4)本品的水溶液显氯化物鉴别(1)的反应(通则0301)。
【检查】酸度 取本品0.20g,加水20ml溶解后,依法测定(通则0631),pH值应为4.2~5.2。
有关物质 避光操作。取本品,精密称定,加甲醇溶解并定量稀释制成每1ml中约含盐酸硫利达嗉250μg的溶液,作为供试品溶液;精密量取适量,用甲醇稀释制成每1ml中约含盐酸硫利达嗪1.25μg的溶液,作为对照溶液。照高效液相色谱法(通则0512)试验,用十八烷基硅烷键合硅胶为填充剂;以 三乙胺-乙腈-水(2:400:600)为流动相A,以三乙胺-乙腈(2:1000)为流动相B;流速为每分钟1.0ml,按下表进行线性梯度洗脱;检测波长为275mn。精密量取对照溶液与供试品溶液各20μl,分别注入液相色谱仪,记录色谱图。供试品溶液色谱图中如有杂质峰,单个杂质峰面积不得大于对照溶液主峰面积的0.2倍(0.1%),各杂质峰面积的和不得大于对照溶液主峰面积(0.5%)。
时间(分钟) 流动相A(%) 流动相B(%)
————————————————————————
0 100 0
5 100 0
35 5 95
40 5 95
41 100 0
46 100 0
————————————————————————
干燥失重 取本品,在105℃干燥至恒重,减失重量不得过0.5%(通则 0831)。
炽灼残渣 取本品1.0g,依法检查(通则0841),遗留残渣不得过0.1%。
重金属 取炽灼残渣项下的遗留残渣,依法检查(通则0821第二法),含重金属不得过百万分之十。
【含量测定】取本品约0.3g,精密称定,加无水冰醋酸-醋酸(1:1)80ml使溶解,照电位滴定法(通则0701),用高氯酸滴定液(0.1mol/L)滴定,并将滴定的结果用空白试验校正。 每1ml高氯酸滴定液(0.1mol/L)相当于40.70mg C
21H
26N
2S
2.HCl。
【类别】抗精神病药。
【贮藏】遮光,密封保存。
【制剂】盐酸硫利达嗪片
关键字:盐酸 利达