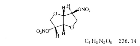
硝酸异山梨酯Xiaosuan YishanlizhiIsosorbide Dinitrate
本品为1,4:3,6-二脱水-D-山梨醇二硝酸酯。按干燥品计算,含C
6H
8N
2O
8应为97.0%~102.0%。
【性状】 本品为白色结晶性粉末;无臭;受热或受到撞击易发生爆炸。
本品在丙酮或三氯甲烷中易溶,在乙醇中略溶,在水中微溶。
比旋度 取本品,精密称定,加无水乙醇溶解并定量稀释制成每1ml中约含10mg的溶液,依法测定(通则0621),比旋度为+135°至+140°。
【鉴别】 (1)取本品约10mg,置试管中,加水1ml与硫酸2ml,混匀,溶解后放冷,沿管壁缓缓加硫酸亚铁试液3ml,使成两液层,接界面显棕色。
(2)在含量测定项下记录的色谱图中,供试品溶液主峰的保留时间应与对照品溶液主峰的保留时间一致。
(3)本品的红外光吸收图谱应与对照的图谱(光谱集473图)一致。
【检查】 硝酸盐 取本品0.25g,加水5ml,振摇5分钟,滤过,滤液置试管中加硫酸5ml,混匀,放冷,沿管壁缓缓加硫酸亚铁试液5ml,使成两液层,接界面不得立即显棕色。
有关物质 取本品,精密称定,加流动相超声使溶解并定量稀释制成每1ml中约含1mg的溶液,作为供试品溶液;另精密称取2-单硝酸异山梨酯(杂质Ⅰ)对照品和单硝酸异山梨酯对照品,精密称定,加流动相溶解并定量稀释制成每1ml中各约含0.5mg的混合溶液,精密量取1ml,置100ml量瓶中,再精密加入供试品溶液1ml,用流动相稀释至刻度,摇匀,作为对照溶液。照高效液相色谱法(通则0512)试验。用十八烷基硅烷键合硅胶为填充剂;以甲醇-水(25:75)为流动相;检测波长为210nm。取对照溶液20μl,注入液相色谱仪,杂质Ⅰ峰与单硝酸异山梨酯峰的分离度应大于2.0。精密量取供试品溶液和对照溶液各20μl,分别注入液相色谱仪,记录色谱图至主成分峰保留时间的1.1倍,供试品溶液的色谱图中如有与杂质I峰与单硝酸异山梨酯峰保留时间一致的色谱峰,按外标法以峰面积计算,均不得过0.5%,其他单个杂质峰的峰面积不得大于对照溶液中硝酸异山梨酯峰面积的0.5倍(0.5%),杂质总量不得过1.0%。
干燥失重 取本品,置硅胶干燥器中,干燥至恒重,减失重量不得过0.5%(通则0831)。
【含量测定】 照高效液相色谱法(通则0512)测定。
色谱条件与系统适用性试验 用十八烷基硅烷键合硅胶为填充剂;以甲醇-水(54:46)为流动相;检测波长为230nm。理论板数按硝酸异山梨酯峰计算不低于5000,硝酸异山梨酯峰与相邻杂质峰的分离度应符合要求。
测定法 取本品约25mg,精密称定,置50ml量瓶中,加甲醇适量使溶解,用流动相稀释至刻度,摇匀,精密量取5ml,置25ml量瓶中,用流动相稀释至刻度,摇匀,作为供试品溶液,精密量取20μl,注入液相色谱仪,记录色谱图;另取硝酸异山梨酯对照品,同法测定。按外标法以峰面积计算,即得。
【类别】 血管扩张药。
【贮藏】 密封保存。
【制剂】 (1)硝酸异山梨酯片 (2)硝酸异山梨酯乳膏 (3)硝酸异山梨酯注射液 (4)硝酸异山梨酯葡萄糖注射液 (5)硝酸异山梨酯喷雾剂 (6)硝酸异山梨酯缓释胶囊 (7)注射用硝酸异山梨酯
附:
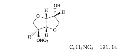
杂质Ⅰ

2-单硝酸异山梨酯
关键字:硝酸 山梨