维生素EWeishengsu EVitamin E
本品为合成型或天然型维生素E;合成型为(±)-2,5,7,8-四甲基-2-(4,8,12-三甲基十三烷基)-6-苯并二氢吡喃醇醋酸酯或dl-α-生育酚醋酸酯,天然型为(+)-2,5,7,8-四甲基-2-(4,8,12-三甲基十三烷基)-6-苯并二氢吡喃醇醋酸酯或d-α-生育酚醋酸酯。含C
31H
52O
3应为96.0%~102.0%。
【性状】本品为微黄色至黄色或黄绿色澄清的黏稠液体;几乎无臭;遇光色渐变深。天然型放置会固化,25℃左右熔化。
本品在无水乙醇、丙酮、乙醚或植物油中易溶,在水中不溶。
比旋度 避光操作。取本品约0.4g,精密称定,置150ml具塞圆底烧瓶中,加无水乙醇25ml使溶解,加硫酸乙醇溶液(l→7)20ml,置水浴上回流3小时,放冷,用硫酸乙醇溶液(1→72)定量转移至200ml量瓶中并稀释至刻度,摇匀,精密量取100ml,置分液漏斗中,加水200ml,用乙醚提取2次(75ml,25ml),合并乙醚液,加铁氰化钾氢氧化钠溶液[取铁氰化钾50g,加氢氧化钠溶液(1→125)溶解并稀释至500ml]50ml,振摇3分钟;取乙醚层,用水洗涤4次,每次50ml,弃去洗涤液,乙醚液经无水硫酸钠脱水后,置水浴上减压或在氮气流下蒸干至7~8ml时,停止加热,继续挥干乙醚,残渣立即加异辛烷溶解并定量转移至25ml量瓶中,用异 辛烷稀释至刻度,摇匀,依法测定(通则 0621),比旋度(按d-α-生育酚计,即测得结果除以换算系数0.911)不得低于+24°(天然型)。
折光率 本品的折光率(通则 0622)为1.494~1.499。
吸收系数 取本品,精密称定,加无水乙醇溶解并定量稀释制成每1ml中约含0.1mg的溶液,照紫外-可见分光光度法(通则 0401),在284nm的波长处测定吸光度,吸收系数(

)为41.0~45.0。
【鉴别】(1)取本品约30mg,加无水乙醇10ml溶解后,加硝酸2ml,摇匀,在75℃加热约15分钟,溶液显橙红色。
(2)在含量测定项下记录的色谱图中,供试品溶液主峰的保留时间应与对照品溶液主峰的保留时间一致。
(3)本品的红外光吸收图谱应与对照的图谱(光谱集 1206图)一致。
【检查】酸度 取乙醇与乙醚各15ml,置锥形瓶中,加酚酞指示液0.5ml,滴加氢氧化钠滴定液(0.1mol/L)至微显粉红色,加本品1.0g,溶解后,用氢氧化钠滴定液(0.1mol/L) 滴定,消耗的氢氧化钠滴定液(0.1mol/L)不得过0.5ml。
生育酚(天然型) 取本品0.10g,加无水乙醇5ml溶解后,加二苯胺试液1滴,用硫酸铈滴定液(0.01mol/L)滴定,消耗的硫酸铈滴定液(0.01mol/L)不得过1.0ml。
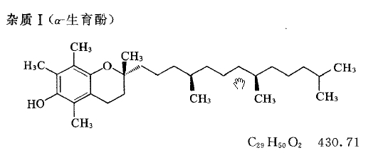
有关物质(合成型) 取本品,用正己烷稀释制成每1ml中约含2.5mg的溶液,作为供试品溶液;精密量取适量,用正己烷定量稀释制成每1ml中含25μg的溶液,作为对照溶液。照含量测定项下的色谱条件,精密量取供试品溶液与对照溶液各1μl,分别注入气相色谱仪,记录色谱图至主成分峰保留时间的2倍,供试品溶液的色谱图中如有杂质峰,α-生育酚(杂质I)(相对保留时间约为0.87)的峰面积不得大于对照溶液主峰面积(1.0%),其他单个杂质峰面积不得大于对照溶液主峰面积的1.5倍(1.5%),各杂质峰面积的和不得大于对照溶液主峰面积的2.5倍(2.5%)。
残留溶剂 正己烷 取本品,精密称定,加N,N-二甲基甲酰胺溶解并定量稀释制成每1ml中约含50mg的溶液,作为供试品溶液;另取正己烷,加N,N-二甲基甲酰胺定量稀释制成每1ml中约含10μg的溶液,作为对照品溶液。照残留溶剂测定法(通则 0861第一法)试验,以5%苯基甲基聚硅氧烷为固定液(或极性相近的固定液),起始柱温为50℃,维持8分钟,然后以每分钟45℃的速率升温至260℃,维持15分钟。正己烷的残留量应符合规定(天然型)。
【含量测定】照气相色谱法(通则 0521)测定。
色谱条件与系统适用性试验 用硅酮(OV-17)为固定液,涂布浓度为2%的填充柱,或用100%二甲基聚硅氧烷为固定液的毛细管柱;柱温为265℃。理论板数按维生素E峰计算不低于500(填充柱)或5000(毛细管柱),维生素E峰与内标物质峰的分离度应符合要求。
校正因子的测定 取正三十二烷适量,加正己烷溶解并稀释成每1ml中含1.0mg的溶液,作为内标溶液。另取维生素E对照品约20mg,精密称定,置棕色具塞瓶中,精密加内标溶液10ml,密塞,振摇使溶解,作为对照品溶液,取1~3μl注入气相色谱仪,计算校正因子。
测定法 取本品约20mg,精密称定,置棕色具塞瓶中,精密加内标溶液10ml,密塞,振摇使溶解,作为供试品溶液;取1~3μl注入气相色谱仪,测定,计算,即得。
【类别】维生素类药。
【贮藏】避光,密封保存。
【制剂】(1)维生素E片 (2)维生素E软胶囊 (3)维 生素E注射液 (4)维生素E粉
附:

杂质I(α-生育酚)
关键字:维生素