您现在位置:兽药智库> 人药标准> 中国药典2015年版> 浏览文章
硫酸核糖霉素
Liusuan Hetangmeisu
Ribostamycin Sulfate


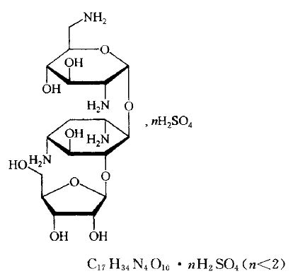
本品为O-β-D-呋喃核糖-(1→5)-O-[α-2,6-二氨基-2,6-二脱氧-α-D-吡喃葡糖-(1→4)]-2-去氧链霉胺的硫酸盐。按干燥品计算,每1mg的效价不得少于680核糖霉素单位。
【性状】本品为白色或类白色粉末;无臭或几乎无臭;有引湿性。
本品在水中易溶,在甲醇、乙醇、丙酮或乙醚中几乎不溶。
【鉴别】(1)取本品与核糖霉素标准品各适量,分别加水制成每1ml中约含核糖霉素10mg的溶液,取上述两种溶液等量混合,作为混合溶液。照薄层色谱法(通则0502)试验,吸取上述三种溶液各2μl,分别点于同一硅胶G薄层板上,以2-丁酮-甲醇-异丙醇-浓氨水-水(10:12:3:8:2)为展开剂,展开,晾干,喷以0.2%茚三酮的水饱和正丁醇溶液,在110℃加热10分钟。混合溶液所显主斑点应为单一斑点,供试品溶液所显主斑点的位置和颜色应与对照品溶液或混合溶液主斑点的位置和颜色相同。
(2)取本品与核糖霉素标准品各适量,分别用水溶解并稀释制成每1ml中约含核糖霉素4mg的溶液,照有关物质项下的色谱条件试验,记录的色谱图中供试品溶液主峰的保留时间应与标准品溶液主峰的保留时间一致。
(3)本品的水溶液显硫酸盐的鉴别反应(通则0301)。
以上(1)、(2)两项可选做一项。
【检查】酸碱度 取本品,加水制成每1ml中约含50mg的溶液,依法测定(通则0631),pH值应为6.0~8.0。
溶液的澄清度与颜色 取本品5份,各1.5g,分别加水5ml,溶解后,溶液应澄清无色;如显浑浊,与1号浊度标准液(通则0902第一法)比较,均不得更浓;如显色,与黄色或黄绿色4号标准比色液(通则0901第一法)比较,均不得更深。
有关物质 取本品适量,加水溶解并稀释制成每1ml中约含核糖霉素4mg的溶液,作为供试品溶液;精密量取适量,用水定量稀释制成每1ml中约含核糖霉素0.04mg、0.08mg、0.2mg的溶液,作为对照溶液(1)、(2)、(3);照高效液相色谱法(通则0512)测定。用十八烷基硅烷键合硅胶为填充剂(pH值范围0.8~8.0);以0.11mol/L七氟丁酸酐混合溶液[取七氟丁酸酐45.1g,置1000ml量瓶中,加乙腈-四氢呋喃-水(10:5:85)混合溶液溶解并稀释至刻度,摇匀]为流动相;流速为每分钟0.8ml;柱温为40℃;用蒸发光散射检测器检测(参考条件:漂移管温度110℃,载气流速每分钟3.0L)。分别称取核糖霉素标准品和新霉胺对照品各适量,加水溶解并稀释制成每1ml中各约含0.4mg的混合溶液,取20μl注入液相色谱仪,记录色谱图,核糖霉素峰和新霉胺峰的分离度应符合要求,精密量取对照溶液(1)、(2)、(3)各20μl,分别注入液相色谱仪,记录色谱图。以对照溶液浓度的对数值与相应的峰面积的对数值计算线性回归方程,相关系数(r)应不小于0.99。另取供试品溶液,同法测定,记录色谱图至主成分峰保留时间2倍,用线性回归方程计算,除硫酸峰外,单个杂质不得过2.0%,杂质总量不得过5.0%。
干燥失重 取本品,以五氧化二磷为干燥剂,在60℃减压干燥至恒重,减失重量不得过4.0%(通则0831)。
可见异物 取本品5份,每份为制剂最大规格量,加微粒检查用水溶解,依法检查(通则0904),应符合规定。(供无菌分装用)
不溶性微粒 取本品3份,加微粒检查用水溶解,依法检查(通则0903),每1g样品中,含10μm及10μm以上的微粒不得过6000粒,含25μm及25μm以上的微粒不得过600粒。(供无菌分装用)
细菌内毒素 取本品,依法检查(通则1143),每1mg核糖霉素中含内毒素的量应小于2.5EU。(供注射用)
无菌 取本品,用适宜溶剂溶解并稀释后,经薄膜过滤法处理,依法检查(通则1101),应符合规定。(供无菌分装用)
【含量测定】精密称取本品适量,用灭菌水定量稀释制成每1ml中约含1000单位的溶液,照抗生素微生物检定法(通则1201第一法)测定。1000核糖霉素单位相当于1mg的C17H34N4O10
【类别】氨基糖苷类抗生素。
【贮藏】严封,在干燥处保存。
【制剂】注射用硫酸核糖霉素
关键字:硫酸 核糖
网友留言
相关文章
  • 硫 酸 铝/辅料(16)
  • 硫 酸 钙/辅料(19)
  • 硫 酸/辅料(13)
  • 硫酸头孢喹肟乳房注入剂(泌乳期)/化药制剂(49)
  • 硫酸头孢喹肟乳房注入剂(干乳期)/化药制剂(54)
  • 硫酸铈铵 /化学物质数据库(9)
  • 硫酸铬 /化学物质数据库(17)
  • 硫酸海索那林/平喘药(16)
  • 硫酸奥西那林/平喘药(55)
  • 消旋硫酸异丙肾上腺素/平喘药(21)
  • 硫酸特布他林/平喘药(66)
  • 硫酸沙丁胺醇/平喘药(27)
  • 硫酸骨胶盐/医药中间体(20)
  • 喹啉,硫酸盐/医药中间体(22)
  • 硫酸黏菌素可溶性粉/粉剂(97)
  • 硫酸黏菌素/原料(78)
  • 硫酸镁注射液/神经类(46)
  • 硫酸镁/原料(29)
  • 硫酸新霉素滴眼液/其它(56)
  • 硫酸新霉素可溶性粉/粉剂(109)
  • 硫酸新霉素片/片剂(35)
  • 硫酸新霉素/原料(69)
  • 硫酸锌/原料(40)
  • 注射用硫酸链霉素/粉针(79)
  • 硫酸链霉素/原料(73)
  • 硫酸阿托品注射液/注射液(88)
  • 硫酸阿托品片/片剂(68)
  • 硫酸阿托品/原料(58)
  • 硫酸安普霉素预混剂/粉剂(49)
  • 硫酸安普霉素可溶性粉/粉剂(54)
  • 硫酸安普霉素/原料(66)
  • 硫酸庆大霉素注射液/注射液(209)
  • 硫酸庆大霉素/原料(225)
  • 硫酸亚铁/原料(49)
  • 硫酸头孢喹肟注射液/注射液(134)
  • 注射用硫酸头孢喹肟/粉针(90)
  • 硫酸头孢喹肟/原料(72)
  • 注射用硫酸卡那霉素/粉针(44)
  • 硫酸卡那霉素注射液/注射液(50)
  • 硫酸卡那霉素/原料(42)
  • 硫代硫酸钠注射液/注射液(47)
  • 硫代硫酸钠/原料(46)
  • 亚硫酸氢钠/辅料(53)
  • 硫酸头孢喹肟注射液/化药注射剂(65)
  • 硫酸头孢喹肟/化药原料(76)
  • 注射用硫酸头孢喹肟/化药注射剂(48)
  • 硫酸头孢喹肟注射液/化药注射剂(69)
  • 硫酸头孢喹肟/化药原料(62)
  • 硫酸头孢喹肟注射液/化药注射剂(134)
  • 硫酸头孢喹肟/化药原料(58)
  • 硫酸头孢喹肟注射液/化药注射剂(59)
  • 硫酸头孢喹肟/化药原料(54)
  • 硫酸头孢喹肟注射液/化药注射剂(57)
  • 硫酸头孢喹肟/化药原料(50)
  • 硫酸头孢喹肟注射液/化药注射剂(61)
  • 硫酸头孢喹肟注射液/化药注射剂(49)
  • 硫酸头孢喹肟注射液/化药注射剂(97)
  • 阿莫西林硫酸黏菌素注射液/化药注射剂(267)
  • 硫酸头孢喹肟/化药原料(51)
  • 硫酸头孢喹肟/化药原料(64)
  • 硫酸头孢喹肟注射液/化药注射剂(48)
  • 硫酸头孢喹肟/化药原料(99)
  • 硫酸黏菌素预混剂/预混剂(61)
  • 硫酸新霉素溶液/内服液体(235)
  • 单硫酸卡那霉素可溶性粉/可溶性粉(133)
  • 硫酸头孢喹肟注射液/化药注射剂(78)
  • 硫酸黏菌素预混剂/预混剂(79)
  • 硫酸黏菌素预混剂/预混剂(49)
  • 硫酸铜/化药原料(60)
  • 硫酸钾/化药原料(41)
  • 硫酸钠/化药原料(53)
  • 硫酸阿托品粉/粉剂(52)
  • 硫酸庆大-小诺霉素注射液/化药注射剂(68)
  • 硫酸庆大-小诺霉素/化药原料(39)
  • 注射用硫酸双氢链霉素/化药注射剂(73)
  • 硫酸双氢链霉素注射液/化药注射剂(83)
  • 硫酸双氢链霉素/化药原料(66)
  • 焦亚硫酸钠/辅料(29)
  • 硫酸羟喹啉/辅料(50)
  • 硫酸铵/辅料(32)
  • 硫酸铝/辅料(25)
  • 硫酸钙/辅料(30)
  • 硫酸/辅料(32)
  • 硫酸小檗碱注射液/中药注射液(97)
  • 硫酸小檗碱/化药原料(47)
  • 硫酸安普霉素预混剂/预混剂(44)
  • 单硫酸卡那霉素/化药原料(67)
  • 硫酸大观霉素/化药原料(91)
  • 亚硫酸氢钠甲萘醌粉(水产用)/水产用(42)
  • 硫酸新霉素粉(水产用)/水产用(71)
  • 硫酸锌三氯异氰脲酸粉(水产用)/水产用(102)
  • 硫酸锌粉(水产用)/水产用(76)
  • 硫酸铜硫酸亚铁粉(水产用)/水产用(114)
  • 硫酸庆大霉素可溶性粉/可溶性粉(98)
  • 硫酸黏菌素注射液/化药注射剂(148)
  • 硫酸铝钾粉(水产用)/水产用(43)
  • 亚硫酸氢钠甲萘醌注射液/注射液(43)
  • 亚硫酸氢钠甲萘醌 /原料(41)
  • 硫酸安普霉素注射液/化药注射剂(72)
  • 硫代硫酸钠粉(水产用)/水产用(70)