您现在位置:兽药智库> 人药标准> 中国药典2015年版> 浏览文章
丙酸交沙霉素
Bingsuan Jiaoshameisu
Josamycin Propionate


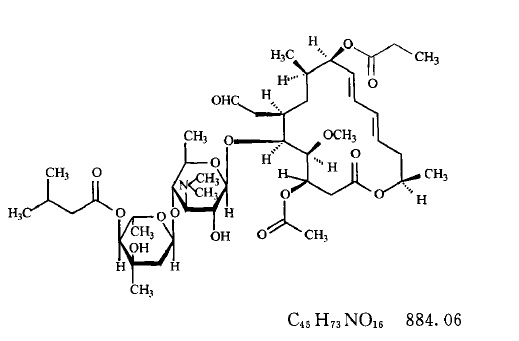
本品主组分为(4R,5S,6S,7R,9R,10R,11E,13E,16R)-4-(乙酰氧基)-5-甲氧基-[[3,6-二脱氧-4-O-[2,6-二脱氧-3-C-甲基-4-O-(3-甲基丁酰基)-α-L-核-己吡喃糖基]-3-(二甲氨基)-β-D-吡喃葡萄糖基]氧基]-10-羟基-9,16-二甲基-2-氧代氧杂环十六烷-11,13-二烯-7-乙醛的立体异构体的丙酸酯[即吉他霉素(柱晶白霉素)A3丙酸酯]。按干燥品计算,每1mg的效价不得少于843交沙霉素单位。
【性状】 本品为白色至淡黄色结晶性粉末,略有引湿性。
本品在甲醇或乙醇中易溶,在乙醚中微溶,在水中几乎不溶。
【鉴别】(1)取本品2mg,加硫酸5ml溶解,溶液应显红褐色。
(2)取本品与丙酸交沙霉素标准品适量,分别加甲醇溶解并稀释制成每1ml中含1mg的溶液,作为供试品溶液与标准品溶液;照薄层色谱法(通则0502)试验,分别吸取上述两种溶液各5μl,点于同一硅胶G薄层板上,以丙酮-己烷(7:5)为展开剂,展开,晾干,喷以磷钼酸乙醇溶液(1→10),置110℃加热数分钟。供试品溶液所显主斑点的位置和颜色应与标准品溶液的主斑点的位置和颜色相同。
(3)取本品与丙酸交沙霉素标准品各适量,分别加流动相溶解并稀释制成每1ml中约含1mg的溶液,作为供试品溶液与标准品溶液;照有关物质项下的色谱条件,取供试品溶液与标准品溶液各20μl,分别注入液相色谱仪,记录色谱图,供试品溶液主峰的保留时间应与标准品溶液主峰的保留时间一致。
(4)取本品,加甲醇溶解并稀释制成每1ml中约含10μg的溶液,照紫外-可见分光光度法(通则0401)测定,在231nm的波长处有最大吸收。
(5)本品的红外光吸收图谱应与对照的图谱(光谱集1115图)一致。
以上(2)、(3)两项可选做一项。
【检查】 有关物质 取本品适量,精密称定,加流动相溶解并稀释制成每1ml中约含1mg的溶液,作为供试品溶液;精密量取1ml置100ml量瓶中,用流动相稀释至刻度,摇匀,作为对照溶液。照高效液相色谱法(通则0512)测定。用十八烷基硅烷键合硅胶为填充剂;以磷酸盐缓冲液(取0.05mol/L磷酸二氢钾溶液10ml与0.05mol/L磷酸氢二钾40ml,混匀,调节pH值至7.5)-甲醇(18:82)为流动相;柱温40℃,检测波长为231nm。取丙酸交沙霉素标准品约5mg,加甲醇10ml和稀磷酸40μl溶解,放置5分钟,取20μl注入液相色谱仪,记录色谱图。丙酸交沙霉素峰与相对保留时间约为0.7处杂质峰间的分离度应大于2.0。精密量取供试品溶液与对照溶液各20μl,分别注入液相色谱仪,记录色谱图至主成分峰保留时间的3倍。供试品溶液色谱图中如有杂质峰,单个杂质峰面积不得大于对照溶液主峰面积的3倍(3.0%),各杂质峰面积的和不得大于对照溶液主峰面积的14倍(14.0%)。
残留溶剂 取本品约0.1g,精密称定,置顶空瓶中,精密加内标溶液(每1ml中含乙醇60μg的水溶液)5ml使溶解,密封,作为供试品溶液;分别精密称取甲醇、异丙醇和二氯甲烷各适量,加上述内标溶液定量稀释制成每1ml中含甲醇、异丙醇和二氯甲烷分别约为100μg、100μg、12μg的混合溶液,精密量取5ml置顶空瓶中,密封,作为对照品溶液。照残留溶剂测定法(通则0861)测定,以100%二甲聚氧硅烷(或极性相近)为固定液的毛细管柱为色谱柱,柱温为30℃,检测器温度为230℃;进样口温度为200℃,顶空瓶平衡温度为100℃,平衡时间为20分钟。取对照品溶液顶空进样,记录色谱图,出峰顺序依次为:甲醇、乙醇、异丙醇和二氯甲烷,各峰之间的分离度均应符合要求。取对照品溶液和供试品溶液分别顶空进样,记录色谱图,按内标法以峰面积比值计算,含甲醇不得过0.5%,异丙醇与二氯甲烷的残留量均应符合规定。
干燥失重 取本品,在60℃减压干燥3小时(通则0831),减失重量不得过2.0%。
炽灼残渣 取本品约1g,依法检查(通则0841),遗留残渣不得过0.2%。
重金属 取炽灼残渣项下遗留的残渣,依法检查(通则0821第二法),含重金属不得过百万分之三十。
【含量测定】 取本品适量,精密称定(约相当于交沙霉素40mg),加甲醇20ml振摇使溶解,用灭菌pH5.6磷酸盐缓冲液(取磷酸二氢钾9.07g,加水1000ml,用1mol/L氢氧化钠溶液调节pH值至5.6)定量制成每1ml中约含400单位的溶液,照抗生素微生物检定法(通则1201)测定。
【类别】 抗生素类药。
【贮藏】 密闭,避光保存。
【制剂】 丙酸交沙霉素颗粒
关键字:丙酸 交沙霉素
网友留言
相关文章
  • β-氨基丙酸/医药中间体(18)
  • 环戊丙酸睾酮 /化学原料药(17)
  • 苯丙酸诺龙 /化学原料药(449)
  • 丙酸睾酮 /化学原料药(18)
  • 丙酸/辅料(37)
  • 3,3`-硫代二丙酸;硫撑二丙酸/化学品物性数据库(27)
  • 硫代二丙酸双硬脂基酯;3,3`-硫代二丙酸双十八酯;抗氧化剂.../化学品物性数据库(23)
  • 高2-甲-4-氯丙酸;(R)2-(4-氯-邻甲苯氧基)丙酸/化学品物性数据库(23)
  • 高2,4-滴丙酸;(R)2-(2,4-二氯苯氧基)丙酸/化学品物性数据库(23)
  • 2-溴丙酸;α-溴丙酸/化学品物性数据库(15)
  • 3-溴丙酸;β-溴丙酸/化学品物性数据库(23)
  • β-巯基丙酸;β-硫代丙醇酸;β-硫氢基丙酸;3-巯基丙酸/化学品物性数据库(16)
  • α-巯基丙酸;α-硫代丙醇酸;α-硫氢基丙酸;2-巯基丙酸;.../化学品物性数据库(20)
  • 乙酰基丙酸乙酯;4-氧代戊酸乙酯/化学品物性数据库(15)
  • 丙酸乙酯/化学品物性数据库(30)
  • 丙酸丁酯/化学品物性数据库(26)
  • 丙酸肉桂酯;γ-苯基烯丙基丙酸酯/化学品物性数据库(17)
  • 丙酸异丁酯/化学品物性数据库(22)
  • 丙酸异戊酯/化学品物性数据库(16)
  • 丙酸钠/化学品物性数据库(23)
  • 丙酸烯丙酯/化学品物性数据库(17)
  • 原丙酸三乙酯;1,1,1-三乙氧基丙烷/化学品物性数据库(20)
  • 乙酰丙酸;左旋酸;4-氧代戊酸;β-乙酰基丙酸/化学品物性数据库(34)
  • 茅草枯;达拉朋;α,α-二氯丙酸钠/化学品物性数据库(15)
  • 硫代二丙酸二月桂酯/化学品物性数据库(24)
  • 布洛芬;对异丁基苯异丙酸/化学品物性数据库(15)
  • 丙酸;乙基甲酸;甲基乙酸/化学品物性数据库(19)
  • 丙酸钙/化学品物性数据库(22)
  • 丙酸酐/化学品物性数据库(52)
  • 丙酸睾酮;丙酸睾丸酮;丙酸睾丸素/化学品物性数据库(15)
  • 丙酸纤维素/化学品物性数据库(11)
  • 苯丙酸诺龙;苯丙酸去甲睾酮/化学品物性数据库(30)
  • 丙酸氯倍他索头皮敷剂 /进口药品数据库(30)
  • 丙酸倍氯米松鼻喷雾剂 /进口药品数据库(14)
  • 丙酸氟替卡松吸入气雾剂 /进口药品数据库(18)
  • 丙酸氯倍他索软膏 /进口药品数据库(25)
  • 丙酸氟替卡松 /进口药品数据库(32)
  • 溶剂微粉化丙酸倍氯米松 /进口药品数据库(19)
  • 丙酸氟替卡松粉雾剂 /进口药品数据库(24)
  • 丙酸交沙霉素干糖浆 /进口药品数据库(30)
  • 二丙酸倍他米松 /进口药品数据库(19)
  • 丙酸倍氯米松粉末吸入剂(胶囊型) /进口药品数据库(17)
  • 丙酸氟替卡松鼻喷雾剂 /进口药品数据库(16)
  • 丙酸氟替卡松软膏 /进口药品数据库(18)
  • 丙酸氟替卡松乳膏 /进口药品数据库(20)
  • 丙酸氟替卡松气雾剂 /进口药品数据库(26)
  • 丙酸倍氯米松粉末吸入剂 /进口药品数据库(18)
  • 丙酸交沙霉素 /进口药品数据库(36)
  • 丙酸香叶酯/辅料手册(34)
  • 丙酸异戊酯/辅料手册(16)
  • 丙酸芳樟酯/辅料手册(18)
  • 天冬氨酰苯丙酸氨甲酯/辅料手册(24)
  • 丙酸乙酯/辅料手册(23)
  • 丙酸睾酮注射液/性激素(32)
  • 丙酸睾酮/原料(33)
  • 丙酸倍氯米松气雾剂/药品说明书(38)
  • 丙酸倍氯米松粉雾剂/药品说明书(28)
  • 丙酸倍氯米松鼻喷雾剂/药品说明书(22)
  • 丙酸氯倍他索软膏/药品说明书(28)
  • 丙酸倍氯米松软膏/药品说明书(38)
  • 苯丙酸诺龙注射液/药品说明书(36)
  • 苯丙酸诺龙/原料(48)
  • 苯丙酸诺龙注射液/性激素(44)
  • 苯丙酸诺龙注射液/中国药典2015年版(38)
  • 苯丙酸诺龙/中国药典2015年版(33)
  • 交沙霉素片/中国药典2015年版(31)
  • 交沙霉素/中国药典2015年版(30)
  • 丙酸睾酮注射液/中国药典2015年版(33)
  • 丙酸睾酮/中国药典2015年版(31)
  • 丙酸氯倍他索乳膏/中国药典2015年版(28)
  • 丙酸氯倍他索/中国药典2015年版(17)
  • 丙酸倍氯米松乳膏/中国药典2015年版(29)
  • 丙酸倍氯米松吸入粉雾剂/中国药典2015年版(23)
  • 丙酸倍氯米松吸入气雾剂/中国药典2015年版(33)
  • 丙酸倍氯米松/中国药典2015年版(28)
  • 丙酸交沙霉素颗粒/中国药典2015年版(45)
  • 丙酸/中国药典2015年版(45)
  • 二丙酸双脒苯脲/兽药手册(81)
  • 丙酸睾酮/兽药手册(391)
  • 苯丙酸诺龙/兽药手册(149)
  • 三合激素注射液/注射液(59)
  • 苯丙酸诺龙注射液/注射液(35)
  • 维生素A丙酸酯溶液 /液体制剂(43)
  • 苯丙酸诺龙/历史药品质量标准(23)
  • 苯丙酸诺龙注射液/历史药品质量标准(19)
  • 丙酸氯倍他索/历史药品质量标准(18)
  • 丙酸睾酮/历史药品质量标准(36)
  • 丙酸睾酮注射液/历史药品质量标准(28)
  • 丙酸睾丸素/历史药品质量标准(23)
  • 丙酸睾丸素注射液/历史药品质量标准(26)
  • 丙酸/辅料手册(45)
  • 丙酸乙酯/辅料手册(45)
  • 丙酸异戊酯/辅料手册(43)
  • 丙酸苄酯/辅料手册(41)
  • 丙酸钠/辅料手册(41)