头孢唑林钠ToubaozuolinnaCefazolin Sodium
本品为(6R,7R)-3-[[(5-甲基-1,3,4-噻二唑-2-基)硫基] 甲基]-7-[(1-H-四氮唑-1-基)乙酰氨基]-8-氧代-5-硫杂-1-氮杂双环[4.2.0]辛-2-烯-2-甲酸钠盐。按无水物计算,含头孢唑林(C
14H
14N
8O
4S
3)不得少于86.0%。
【性状】 本品为白色或类白色粉末或结晶性粉末;无臭;易引湿。
本品在水中易溶,在甲醇中微溶,在乙醇、丙酮中几乎不溶。
比旋度 取本品,精密称定,加水溶解并定量稀释制成每1ml中约含50mg的溶液,依法测定(通则0621),比旋度为-15°至-24°。
吸收系数 取本品,精密称定,加水溶解并定量稀释制成每1ml中约含16μg的溶液,照紫外-可见分光光度法(通则0401),在272nm的波长处测定吸光度,吸收系数(

)为264~292。
【鉴别】 (1)在含量测定项下记录的色谱图中,供试品溶液主峰的保留时间应与对照品溶液主峰的保留时间一致。
(2)取本品适量,加水溶解并稀释制成每1ml中约含16μg的溶液,照紫外-可见分光光度法(通则0401)测定,在272nm的波长处有最大吸收。
(3)本品显钠盐鉴别(1)的反应(通则0301)。
【检查】 酸度 取本品,加水制成每1ml中含0.1g的溶液,依法测定(通则0631),pH值应为4.5~6.5。
溶液的澄清度与顏色 取本品5份,各0.6g,分别加水5ml溶解后,溶液应澄清无色;如显浑浊,与1号浊度标准液(通则0902第一法)比较,均不得更浓;如显色,与黄色或黄绿色3号标准比色液(通则0901第一法)比较,均不得更深。
有关物质 取本品适量,加流动相A溶解并稀释制成每1ml中含2.5mg的溶液,作为供试品溶液;精密量取1ml,置100ml量瓶中,用流动相A稀释至刻度,摇匀,作为对照溶液。照高效液相色谱法(通则0512)测定,用十八烷基硅烷键合硅胶为填充剂;流动相A为磷酸盐缓冲液(取十二水合磷酸氢二钠2.91g与磷酸二氢钾0.71g,加水溶解并稀释至1000ml),流动相B为乙腈,流速为每分钟1.2ml,按下表进行线性梯度洗脱;柱温为45℃;检测波长为254nm。取本品约10mg,加0.2%氢氧化钠溶液10ml使溶解,静置15~30分钟,精密量取1ml,置10ml量瓶中,加流动相A稀释至刻度,摇匀,取杂质E对照品和杂质A对照品适量,加上述溶液溶解并稀释制成每1ml中各含0.1mg的溶液,取10μl注入液相色谱仪,按杂质E、杂质A和头孢唑林的顺序洗脱。杂质A峰与头孢唑林峰间的分离度应不小于2.0,头孢唑林峰与相对保留时间约为0.97和1.05处的杂质峰间的分离度均应符合要求。精密量取供试品溶液与对照溶液各10μl,分别注入液相色谱仪,记录色谱图。供试品溶液色谱图中如有杂质峰,杂质A峰面积不得大于对照溶液主峰面积的0.5倍(0.5%),杂质E和其他单个杂质峰面积均不得大于对照溶液主峰面积(1.0%),各杂质峰面积的和不得大于对照溶液主峰面积的3.5倍(3.5%),供试品溶液色谱图中小于对照溶液主峰面积0.05倍的峰忽略不计。
-----------------------------------
----------
时间(分钟) 流动相A(%) 流动相B(%)
-----------------------------------
----------
0 98 2
2 98 2
4 85 15
10 60 40
11.5 35 65
12 35 65
15 98 2
21 98 2
-----------------------------------
----------
头孢唑林聚合物 照分子排阻色谱法(通则0514)测定。
色谱条件与系统适用性试验 用葡聚糖凝胶G-10(40~120μm)为填充剂,玻璃柱内径1.0~1.4cm,柱长30~40cm。以pH7.0的0.1mol/L磷酸盐缓冲液[0.1mol/L磷酸氢二钠溶液-0.1mol/L磷酸二氢钠溶液(61:39)]为流动相A,以水为流动相B,流速约为每分钟1.5ml,检测波长为254nm。取 0.4mg/ml蓝色葡聚糖2000溶液100~200μl,注入液相色谱仪,分别以流动相A、B为流动相测定,记录色谱图,理论板数按蓝色葡聚糖2000峰计算均不低于400,拖尾因子均应小于2.0。在两种流动相系统中蓝色葡聚糖2000峰保留时间的比值应在0.93~1.07之间,对照溶液主峰和供试品溶液中聚合物峰与相应色谱系统中蓝色葡聚糖2000峰的保留时间的比值均应在0.93~1.07之间。称取头孢唑林钠约0.2g,置10ml量瓶中,加0.4mg/ml的蓝色葡聚糖2000溶液溶解并稀释至刻度,摇匀。取100~200μl注入液相色谱仪,用流动相A进行测定,记录色谱图。高聚体的峰高与单体与高聚体之间的谷高比应大于2.0。另以流动相B为流动相,精密量取对照溶液100~200μl,连续进样5次,峰面积的相对标准偏差应不大于5.0%。
对照溶液的制备 取头孢唑林对照品适量,精密称定,加水溶解定量稀释制成每1ml中约含10μg的溶液。
测定法 取本品约0.2g,精密称定,置10ml量瓶中,加水溶解并稀释至刻度,摇匀,立即精密量取100~200μl注入液相色谱仪,以流动相A为流动相进行测定,记录色谱图。另精密量取对照溶液100~200μl注入液相色谱仪,以流动相B为流动相,同法测定。按外标法以头孢唑林峰面积计算,含头孢唑林聚合物的量不得过0.04%。
残留溶剂 取本品约1g,置10ml量瓶中,加水溶解并稀释至刻度,摇匀,作为供试品贮备液。精密量取1ml,置顶空瓶中,再精密加水1ml,摇匀,密封,作为供试品溶液;另精密称取丙酮0.25g,置50ml量瓶中,加水溶解并稀释至刻度,摇匀,精密量取10ml,置100ml量瓶中,加水稀释至刻度,摇匀,作为对照品贮备液;精密量取对照品贮备液1ml,置顶空瓶中,再精密加入供试品贮备液1ml,摇匀,密封,作为对照品溶液。照残留溶剂测定法(通则0861第一法)测定,以100%二甲基聚硅氧烷(或极性相近)为固定液的毛细管柱为色谱柱,柱温为40℃,维持12分钟;检测器温度为250℃;进样口温度为200℃ ;顶空瓶平衡温度为70℃,平衡时间为30分钟;取对照品溶液顶空进样,计算数次进样结果,其相对标准偏差不得过5.0%。取供试品溶液与对照品溶液分别顶空进样,记录色谱图,按标准加入法以峰面积计算,丙酮的残留量应符合规定。
水分 取本品,照水分测定法(通则0832第一法1)测定,含水分不得过2.5%。
可见异物 取本品5份,每份各2.0g,用微粒检查用水溶解,依法检查(通则0904),应符合规定。(供无菌分装用)
不溶性微粒 取本品3份,加微粒检查用水制成每1ml中含50mg的溶液,依法检查(通则0903),每1g样品中含10μm及10μm以上的微粒不得过6000粒,含25μm及25μm以上的微粒不得过600粒。(供无菌分装用)
细苗内毒素 取本品,依法检查(通则1143),每1mg头孢唑林中含内毒素的量应小于0.10EU。(供注射用)
无菌 取本品,用适宜溶剂溶解并稀释后,经薄膜过滤法处理,依法检查(通则1101),应符合规定。(供无菌分装用)
【含量测定】 照高效液相色谱法(通则0512)测定。
色谱条件与系统适用性试验 用十八烷基硅烷键合硅胶为填充剂;以磷酸氢二钠、枸橼酸溶液(取无水磷酸氢二钠1.33g与枸橼酸1.12g,加水溶解并稀释成1000ml)-乙腈(88:12)为流动相;检测波长为254nm;取本品约10mg,加0.2%氢氧化钠溶液10ml使溶解,静置15~30分钟,精密量取1ml,置10ml量瓶中,用流动相稀释至刻度,摇匀,取10μl注入液相色谱仪,记录色谱图,头孢唑林峰的保留时间约为7.5分钟。头孢唑林峰和相邻杂质峰间的分离度应符合要求。
测定法 取本品适量,精密称定,加流动相溶解并定量稀释制成每1ml中约含0.1mg的溶液,作为供试品溶液,精密量取10μl注入液相色谱仪,记录色谱图;另取头孢唑林对照品适量,加磷酸盐缓冲液(pH7.0)5ml溶解后,再用流动相定量稀释制成每1ml中约含0.1mg的溶液,同法测定。按外标法以峰面积计算供试品中C
14H
14N
8O
4S
3的含量。
【类别】 β-内酰胺类抗生素,头孢菌素类。
【贮藏】 严封,在凉暗干燥处保存。
【制剂】 注射用头孢唑林钠
-----------------------------------
--------
附:
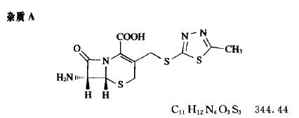
杂质A

(6R,7R)-7-氨基-3-[[(5-甲基-1,3,4-噻二唑-2-基)硫基]甲基]-8-氧代-5-硫杂-1-氮杂双环[4.2.0]辛-2-烯-2-羧酸
杂质E

5-甲基-1,3,4-噻二唑-2-硫醇
关键字:头孢