您现在位置:兽药智库> 人药标准> 中国药典2015年版> 浏览文章
头孢拉定
Toubaolading
Cefradine


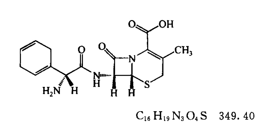
本品为(6R,7R)-7-[(R)-2-氨基-2-(1,4-环己二烯-1-基)乙酰氨基]-3-甲基-8-氧代-5-硫杂-1-氮杂双环[4.2.0]辛-2-烯-2-羧酸。按无水物计算,含头孢拉定(C16H19N3O4S)不得少于90.0%。
【性状】 本品为白色或类白色结晶性粉末;微臭。
本品在水中略溶,在乙醇或乙醚中几乎不溶。
比旋度 取本品,精密称定,加醋酸盐缓冲液(取醋酸钠1.36g,加水约50ml溶解,用冰醋酸调节pH值至4.6,加水稀释至100ml)溶解并定量稀释制成每1ml中约含10mg的溶液。依法测定(通则0621),比旋度为+80°至+90°。
【鉴别】 (1)取本品与头孢拉定对照品适量,分别加水溶解并稀释制成每1ml中约含6mg的溶液,作为供试品溶液与对照品溶液。照薄层色谱法(通则0502)试验,吸取上述两种溶液各5μl,分别点于同一硅胶G薄层板[经105℃活化后,置5%(ml/ml)正十四烷的正己烷溶液中,展开至薄层板的顶部,晾干]上,以0.1mol/L枸橡酸溶液-0.2mol/L磷酸氢二钠溶液-丙酮(60:40:1.5)为展开剂,展开,取出,于105℃加热5分钟,立即喷以用展开剂制成的0.1%茚三酮溶液,在105℃加热15分钟后,检视。供试品溶液所显主斑点的位置和颜色应与对照品溶液所显主斑点的位置和颜色相同。
(2)在含量测定项下记录的色谱图中,供试品溶液主峰的保留时间应与对照品溶液主峰的保留时间一致。
(3)取本品适量,加甲醇适量使溶解,于室温挥发至干,取残渣照红外分光光度法(通则0402)测定,本品的红外光吸收图谱应与对照的图谱(光谱集722图)一致。
以上(1)、(2)两项可选做一项。
【检查】 结晶性 取本品少许,依法检查(通则0981),应符合规定。
酸度 取本品,加水制成每1ml中含10mg的溶液,依法测定(通则0631),pH值应为3.5~6.0。
溶液的澄清度与颜色 取本品5份,各0.55g,分别加碳酸钠0.15g和水5ml溶解后,溶液应澄清无色;如显浑浊,与1号浊度标准液(通则0902第一法)比较,均不得更浓;如显色,与黄色或黄绿色5号标准比色液(通则0901第一法)比较,均不得更深。(供注射用)
头孢氨苄 照含量测定项下的方法制备供试品溶液;另取头孢氨苄对照品约20mg,精密称定,置50ml量瓶中,加流动相约30ml超声使溶解,再用流动相稀释至刻度,摇匀,精密量取5ml,置50ml量瓶中,用流动相稀释至刻度,摇匀,作为对照品溶液。照含量测定项下的色谱条件,精密量取供试品溶液和对照品溶液各10μl,分别注入液相色谱仪,记录色谱图,按外标法以峰面积计算。含头孢氨苄按无水物计,不得过5.0%。
有关物质 精密称取本品适量,加流动相溶解并定量稀释制成每1ml中含1mg的溶液,作为供试品溶液;精密量取适量,用流动相定量稀释制成每1ml中含5μg的溶液,作为对照溶液;另精密称取头孢氨苄、双氢苯甘氨酸和7-氨基去乙酰氧基头孢烷酸对照品各适量,置同一量瓶中,先加7.3%盐酸溶液4ml,超声使溶解,再用对照溶液定量稀释制成每1ml中含上述3种杂质对照品各10μg的混合溶液,作为杂质对照品溶液。照含量测定项下的色谱条件,取杂质对照品溶液20μl,注入液相色谱仪,以220nm为检测波长,洗脱顺序依次为:7-氨基去乙酰氧基头孢烷酸、双氢苯苷氨酸、头孢氨苄和头孢拉定,各峰之间的分离度均应符合要求。检测波长为220mn和254mn,精密量取供试品溶液、杂质对照品溶液和对照溶液各20μl,分别注入液相色谱仪,记录色谱图至主成分峰保留时间的2.5倍,供试品溶液色谱图中如有杂质峰,除头孢氨苄外,双氢苯甘氨酸(220nm检测)和7-氨基去乙酰氧基头孢烷酸(254nm检测)按外标法以峰面积计算,均不得过1.0%;其他单个杂质(254nm检测)峰面积不得大于对照溶液主峰面积的4倍(2.0%),其他各杂质(254nm检测)峰面积的和不得大于对照溶液主峰面积的5倍(2.5%)。
头孢拉定聚合物 照分子排阻色谱法(通则0514)测定。
色谱条件与系统适用性试验 用葡聚糖凝胶G-10(40~120μm)为填充剂,玻璃柱内径1.0~1.4cm,柱长30~45cm。以pH8.0的0.2mol/L磷酸盐缓冲液[0.2mol/L磷酸氢二钠溶液-0.2mol/L磷酸二氢钠溶液(95:5)]为流动相A,以水为流动相B,流速为每分钟1.0~1.5ml,检测波长为254nm。量取0.2mg/ml蓝色葡聚糖2000溶液100~200μl,注入液相色谱仪,分别以流动相A、B进行测定,记录色谱图。按蓝色葡聚糖2000峰计算理论板数均不低于400,拖尾因子均应小于2.0。在两种流动相系统中蓝色葡聚糖2000峰的保留时间比值应在0.93~1.07之间,对照溶液主峰与供试品溶液中聚合物峰与相应色谱系统中蓝色葡聚糖2000峰的保留时间的比值均应在0.93~1.07之间。称取头孢拉定约0.2g,置10ml量瓶中,加2%无水碳酸钠溶液4ml使溶解后,加0.6mg/ml的蓝色葡聚糖2000溶液5ml,用水稀释至刻度,摇匀。量取100~20μl注入液相色谱仪,用流动相A进行测定,记录色谱图。高聚体的峰高与单体与高聚体之间的谷高比应大于2.0。另以流动相B为流动相,精密量取对照溶液100~200μl,连续进样5次,峰面积的相对标准偏差应不大于5.0%。(对照溶液进行测定前,先用含0.2mol/L氢氧化钠与0.5mol/L氯化钠的混合溶液200~400ml冲洗凝胶柱,再用水冲洗至中性。)
对照溶液的制备 取头孢拉定对照品适量,精密称定,加水溶解并定量稀释制成每1ml中约含10μg的溶液。
测定法 取本品约0.2g,精密称定,置10ml量瓶中,加2%无水碳酸钠溶液4ml,使溶解后,用水稀释至刻度,摇匀。立即精密量取100~200μl注入液相色谱仪,以流动相A为流动相进行测定,记录色谱图。另精密量取对照溶液100~200μ注入液相色谱仪,以流动相B为流动相进行测定,记录色谱图。按外标法以头孢拉定峰面积计算,头孢拉定聚合物的量不得过0.05%。
2-萘酚 照高效液相色谱法(通则0512)测定。
色谱条件与系统适用性试验 用十八烷基硅烷键合硅胶为填充剂;以甲醇-水(55:45)为流动相,流速为每分钟1ml,检测波长为225nm。取对照品溶液20μl注入液相色谱仪,调节流动相中甲醇比例使2-萘酚峰的保留时间约为7分钟,2-萘酚峰与相邻峰间的分离度应不小于1.5。
测定法 取本品适量,精密称定,加流动相溶解并定量稀释制成每1ml中约含10mg的溶液,充分振摇,过滤,取续滤液作为供试品溶液;另取2-萘酚对照品适量,精密称定,加流动相溶解并定量稀释制成每1ml中约含0.5μg的溶液,作为对照品溶液,精密量取上述两种溶液各20μl,分别注入液相色谱仪,记录色谱图。按外标法以峰面积计算,2-萘酚的量不得过0.05%(供口服制剂用)或不得过0.0025%。(供注射用)
水分 取本品,照水分测定法(通则0832第一法1)测定,含水分不得过6.0%。
炽灼残渣 取本品1.0g,依法检查(通则0841),遗留残渣不得过0.2%。
重金属 取炽灼残渣项下遗留的残渣,依法检查(通则0821第二法),含重金属不得过百万分之二十。
可见异物 取本品5份,每份各2.0g,加3.0%精氨酸溶液(经0.45fxm滤膜滤过)溶解后,依法检查(通则0904),应符合规定。(供无菌分装用)
不溶性微粒 取本品3份,各2.0g,加3.0%精氨酸溶液(经0.45μm滤膜滤过)制成每1ml中含50mg的溶液,依法检查(通则0903),每1g样品中含10μm及10μm以上的微粒不得过6000粒,含25μm及25μm以上的微粒不得过600粒。(供无菌分装用)
细菌内毒素 取本品,加2.6%无内毒素碳酸钠溶液使溶解,依法检查(通则1143),每1mg头孢拉定中含内毒素的量应小于0.20EU(供注射用)
无菌 取本品,用2.6%无菌碳酸钠溶液溶解并稀释后,经薄膜过滤法处理,依法检查(通则1101),应符合规定。(供无菌分装用)
【含量测定】 照高效液相色谱法(通则0512)测定。
色谱条件与系统适用性试验 用十八烷基硅烷键合硅胶为填充剂;以水-甲醇-3.86%醋酸钠溶液-4%醋酸溶液(1564:400:30:6)为流动相;流速为每分钟0.7~0.9ml;检测波长为254nm。取头孢拉定对照品溶液10份和头孢氨苄对照品贮备液(0.4mg/ml)1份,混匀,取10μl注入液相色谱仪,记录色谱图,头孢拉定峰和头孢氨苄峰间的分离度应符合要求。
测定法 取本品约70mg,精密称定,置100ml量瓶中,加流动相约70ml超声使溶解,再用流动相稀释至刻度,摇匀,作为供试品溶液,精密量取10μl注入液相色谱仪,记录色谱图;另取头孢拉定对照品溶液,同法测定。按外标法以峰面积计算,即得。
【类别】 β内酰胺类抗生素,头孢菌素类。
【贮藏】 遮光,充氮,密封,在低于10℃处保存。
【制剂】 (1)头孢拉定干混悬剂(2)头孢拉定片 (3)头孢拉定胶囊(4)头孢拉定颗粒(5)注射用头孢拉定



关键字:头孢
网友留言
相关文章
  • 硫酸头孢喹肟乳房注入剂(泌乳期)/化药制剂(42)
  • 硫酸头孢喹肟乳房注入剂(干乳期)/化药制剂(16)
  • 盐酸头孢噻呋乳房注入剂(干乳期)/化药制剂(50)
  • 盐酸头孢噻呋/化药原料(35)
  • 头孢噻呋注射液/化药制剂(43)
  • 头孢噻呋注射液/化药制剂(36)
  • 头孢米诺 /化学物质数据库(16)
  • 7-氨基-3-氯-3-头孢环-4-羧酸/医药中间体(10)
  • 农业部公告 第2639号(盐酸头孢噻呋乳房注入剂(干乳期)等.../政府公告(119)
  • 硫酸头孢喹肟注射液/注射液(127)
  • 硫酸头孢喹肟/原料(67)
  • 盐酸头孢噻呋注射液/化药注射剂(239)
  • 盐酸头孢噻呋/化药原料(87)
  • 硫酸头孢喹肟注射液/化药注射剂(64)
  • 硫酸头孢喹肟/化药原料(56)
  • 硫酸头孢喹肟注射液/化药注射剂(63)
  • 硫酸头孢喹肟/化药原料(51)
  • 硫酸头孢喹肟注射液/化药注射剂(111)
  • 硫酸头孢喹肟/化药原料(52)
  • 盐酸头孢噻呋注射液/化药注射剂(211)
  • 盐酸头孢噻呋/化药原料(79)
  • 硫酸头孢喹肟注射液/化药注射剂(57)
  • 硫酸头孢喹肟/化药原料(46)
  • 硫酸头孢喹肟注射液/化药注射剂(49)
  • 硫酸头孢喹肟/化药原料(46)
  • 硫酸头孢喹肟注射液/化药注射剂(53)
  • 硫酸头孢喹肟注射液/化药注射剂(46)
  • 硫酸头孢喹肟注射液/化药注射剂(77)
  • 硫酸头孢喹肟/化药原料(49)
  • 硫酸头孢喹肟/化药原料(49)
  • 硫酸头孢喹肟注射液/化药注射剂(44)
  • 硫酸头孢喹肟/化药原料(79)
  • 盐酸头孢噻呋注射液/化药注射剂(97)
  • 注射用头孢噻呋钠/化药注射剂(81)
  • 盐酸头孢噻呋注射液/化药注射剂(85)
  • 盐酸头孢噻呋注射液/化药注射剂(77)
  • 注射用头孢噻呋钠/化药注射剂(50)
  • 盐酸头孢噻呋乳房注入剂(泌乳期)/乳房注入剂(129)
  • 硫酸头孢喹肟注射液/化药注射剂(74)
  • 盐酸头孢噻呋注射液/化药注射剂(92)
  • 头孢氨苄注射液/化药注射剂(94)
  • 头孢噻呋晶体注射液/化药注射剂(87)
  • 头孢氨苄;先锋霉素Ⅳ/化学品物性数据库(27)
  • 头孢拉定;先锋霉素Ⅵ;头孢环己烯/化学品物性数据库(35)
  • 头孢派酮;先锋必;头孢氧哌唑/化学品物性数据库(23)
  • 头孢噻啶;先锋霉素Ⅱ/化学品物性数据库(33)
  • 头孢三嗪/化学品物性数据库(17)
  • 头孢他啶;头孢甲羧肟/化学品物性数据库(17)
  • 头孢唑啉;先锋霉素Ⅴ/化学品物性数据库(19)
  • 盐酸头孢替安碳酸钠(83:17)(制剂中间体) /进口药品数据库(22)
  • 注射用头孢地嗪钠 /进口药品数据库(15)
  • 注射用头孢哌酮钠 /进口药品数据库(19)
  • 注射用头孢唑肟钠 /进口药品数据库(34)
  • 头孢呋辛酯干混悬剂 /进口药品数据库(14)
  • 头孢特仑新戊酯 /进口药品数据库(17)
  • 注射用头孢孟多酯钠 /进口药品数据库(21)
  • 头孢美唑钠 /进口药品数据库(10)
  • 头孢米诺钠 /进口药品数据库(15)
  • 头孢泊肟酯干混悬剂 /进口药品数据库(21)
  • 头孢克洛干糖浆 /进口药品数据库(12)
  • 头孢克肟颗粒 /进口药品数据库(26)
  • 头孢哌酮钠 /进口药品数据库(16)
  • 头孢拉定(致密粉) /进口药品数据库(13)
  • 注射用头孢匹胺钠(供静脉注射用) /进口药品数据库(43)
  • 头孢地尼胶囊 /进口药品数据库(15)
  • 头孢氨苄(重粉) /进口药品数据库(27)
  • 头孢丙烯 /进口药品数据库(11)
  • 盐酸头孢吡肟/L-精氨酸 /进口药品数据库(13)
  • 头孢泊肟酯片 /进口药品数据库(33)
  • 注射用头孢地秦钠 /进口药品数据库(15)
  • 头孢尼西钠 /进口药品数据库(19)
  • 头孢唑肟钠 /进口药品数据库(8)
  • 注射用头孢美唑钠 /进口药品数据库(22)
  • 注射用氟氧头孢钠 /进口药品数据库(13)
  • 头孢拉定粉粒 /进口药品数据库(24)
  • 头孢特仑新戊酯片 /进口药品数据库(14)
  • 头孢他啶(供注射用) /进口药品数据库(18)
  • 头孢拉定胶囊 /进口药品数据库(15)
  • 头孢氨苄 /进口药品数据库(16)
  • 头孢呋辛片 /进口药品数据库(18)
  • 注射用头孢曲松钠 /进口药品数据库(25)
  • 头孢拉定/碳酸钠 /进口药品数据库(16)
  • 拉氧头孢钠 /进口药品数据库(9)
  • 氟氧头孢钠 /进口药品数据库(18)
  • 头孢泊肟匹酯片 /进口药品数据库(17)
  • 头孢泊肟匹酯 /进口药品数据库(13)
  • 头孢呋辛酯片 /进口药品数据库(11)
  • 头孢克洛胶囊 /进口药品数据库(12)
  • 头孢他啶(注射用) /进口药品数据库(13)
  • 头孢妥仑匹酯片 /进口药品数据库(20)
  • 头孢克洛 /进口药品数据库(15)
  • 头孢布烯干混悬剂 /进口药品数据库(15)
  • 头孢布烯胶囊 /进口药品数据库(14)
  • 头孢克肟胶囊 /进口药品数据库(11)
  • 注射用头孢呋辛钠 /进口药品数据库(26)
  • 盐酸头孢替安 /进口药品数据库(13)
  • 头孢唑林钠 /进口药品数据库(13)
  • 头孢地尼颗粒 /进口药品数据库(19)
  • 注射用头孢匹胺钠 /进口药品数据库(35)
  • 头孢呋辛钠 /进口药品数据库(11)