头孢泊肟酯ToubaobowozhⅠCefpodoxⅠme ProxetⅠl
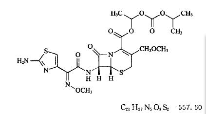
本品为(6R,7R)-3-甲氧基甲基-7-[2-(2-氨基-4-噻唑基)-2-[(Z)-甲氧亚氨基]乙酰氨基]-8-氧代-5-硫杂-1-氮杂双环[4.2.0]辛-2-烯-2-羧酸-(RS)-1-(异丙氧基甲酰氧基)乙酯。按无水物计算,含头孢泊肟(C
15H
17N
5O
6S
2)不得少于69.0% 。
【性状】 本品为白色至淡黄色粉末;无臭或微有特殊臭味。本品在乙腈或甲醇中极易溶解,在无水乙醇中易溶,在水中几乎不溶。
比旋度 取本品,精密称定,加乙腈溶解并定量稀释制成每1ml中约含5mg的溶液,依法测定(通则0621),比旋度应为+18.3°至+31.4°。
【鉴别】(1)在含量测定项下记录的色谱图中,供试品溶液两个主峰的保留时间应分别与对照品溶液两个主峰的保留时间一致。
(2)本品的红外光吸收图谱应与对照的图谱(光谱集1124图)一致。
【检查】 有关物质 照高效液相色谱法(通则0512)试验。
色谱条件与系统适用性试验 用十八烷基硅烷键合硅胶为填充剂(4.6mm×150mm,5μm或效能相当的色谱柱),以水-甲醇-甲酸(600:400:1)为流动相A,以水-甲醇-甲酸(50:950:1)为流动相B,按下表进行线性梯度洗脱,检测波长为254nm;流速为每分钟0.6ml。取头孢泊肟酯对照品适量(约相当于头孢泊肟50mg),置50ml量瓶中,加稀释溶剂[水-乙腈-乙酸(99:99:2)]适量使溶解,置紫外灯下照射12小时后,加30%过氧化氢溶液3ml,放置60分钟,用上述稀释溶剂稀释至刻度,摇匀,作为系统适用性溶液,取20μl注入液相色谱仪,记录色谱图,头孢泊肟酯异构体A、杂质C、杂质D-Ⅰ、头孢泊肟酯异构体B以及杂质D-Ⅱ依次出峰,头孢泊肟酯异构体B峰的保留时间约为68分钟。头孢泊肟酯异构体A峰、B峰之间分离度应大于4.0,头孢泊肟酯异构体A峰与杂质C峰,杂质D-Ⅰ峰与头孢泊肟酯异构体B峰、头孢泊肟酯异构体B峰与杂质D-Ⅱ峰之间的分离度均应符合要求。
测定法 取本品适量,精密称定,加上述稀释溶剂溶解并稀释制成每1ml中约含头孢泊肟1.0mg的溶液,作为供试品溶液;精密量取适量,用上述稀释溶剂定量稀释制成每1ml中约含头孢泊肟0.01mg的溶液,作为对照溶液。精密量取供试品溶液和对照溶液各20μl,分别注入液相色谱仪,记录色谱图。供试品溶液色谱图中如有杂质峰,头孢泊肟(杂质A)峰面积不得大于对照溶液两主峰面积之和的0.5倍(0.5%),杂质B-Ⅰ峰面积不得大于对照溶液两主峰面积之和(1.0%),杂质C与杂质B-Ⅱ的峰面积之和不得大于对照溶液两主峰面积之和的2倍(2.0%),杂质D-Ⅰ与杂质D-Ⅱ的峰面积之和不得大于对照溶液两主峰面积之和(1.0%),杂质F-Ⅰ与杂质F-Ⅱ的峰面积之和不得大于对照溶液两主峰面积之和的0.2倍(0.2%),杂质G峰面积不得大于对照溶液两主峰面积之和的0.2倍(0.2%),杂质H-Ⅰ与杂质H-Ⅱ的峰面积之和不得大于对照溶液两主峰面积之和(1.0%),其他单个杂质峰面积不得大于对照溶液两主峰面积之和的0.1倍(0.1% ),各杂质峰面积的和不得大于对照溶液两主峰面积之和的4倍(4.0%)。供试品溶液色谱图中小于对照溶液两主峰面积之和0.05倍的峰忽略不计。
-----------------------------------
-----------
时间(分钟) 流动相A(%) 流动相B(%)
-----------------------------------
-----------
0 95 5
65 95 5
145 15 85
155 15 85
158 95 5
170 95 5
-----------------------------------
-----------
异构体 在含量测定项下记录的供试品溶液色谱图中,头孢泊肟酯异构体B峰面积与头孢泊肟酯异构体A、B 峰面积和之比应为0.5~0.6。
残留溶剂 甲醇、丙酮、异丙醇、乙腈、二氯甲烷、丁酮、乙酸乙酯、四氢呋喃、四氯化碳、环己烷、苯、1,2-二氯乙烷、乙酸异丙酯、二氧六环、甲基异丁基酮、吡啶、甲苯与乙酸丁酯照残留溶剂测定法(通则0861)测定。
色谱条件与系统适用性试验 以6%氰丙基苯基-94%二甲基聚硅氧烷为固定液(或极性相近)的毛细管柱为色谱柱,起始温度为40℃,维持22分钟,再以每分钟100℃速率升温至120℃,维持10分钟,进样口温度为200℃,检测器温度为250℃,顶空瓶平衡温度为70℃,平衡时间为30分钟。取系统适用性溶液顶空进样,按正丙醇(内标)、丁酮、乙酸乙酯的顺序出峰,各峰间的分离度均应符合要求。
内标溶液的制备 取正丙醇适量,用二甲基亚砜稀释制成每1ml中约含200mg的溶液,作为内标溶液。
系统适用性溶液的制备 取丁酮和乙酸乙酯各适量,用内标溶液定量稀释制成每1ml中约含丁酮和乙酸乙酯各1mg的溶液,精密量取1ml,置顶空瓶中,密封,作为系统适用性溶液。
供试品溶液的制备 取本品约0.2g,精密称定,置顶空瓶中,精密加入内标溶液1ml使溶解,密封,作为供试品溶液。
对照品溶液的制备 根据试验确定的具体检测对象,制备对照品溶液。分别精密称取各溶剂适量,用内标溶液定量稀释制成规定浓度的溶液,作为混合对照品溶液,混合对照品溶液中各溶剂的浓度分别为每1ml中含甲醇600μg、丙酮1mg、异丙醇1mg、乙腈82μg、二氯甲烷120μg、丁酮1mg、乙酸乙酯1mg、四氢呋喃150μg、四氯化碳1μg、环己烷760μg、苯1μg、1,2-二氯乙烷1μg、乙酸异丙酯1mg、二氧六环76μg、甲基异丁基酮1mg、吡啶40μg 、甲苯178μg、乙酸丁酯1mg。精密量取混合对照品溶液1ml,置顶空瓶中,密封,作为对照品溶液。
测定法 首先取甲烷气体顶空进样,记录甲烷的保留时间作为色谱系统的死时间(t
0) ,再取供试品溶液顶空进样,记录色谱图,供试品溶液色谱图中如有色谱峰,按下式计算各色谱峰的保留时间(t
R)相对于正丙醇保留时间[t
R(正丙醇)]的相对调整保留时间(RART):

将得到的RART值与下表中的RART值比较,确定供试品中的残留溶剂种类;再制备相应的对照品溶液,取对照品溶液顶空进样,记录色谱图,按内标法以峰面积比值计算,甲基异丁基酮的残留量不得过0.5%,甲醇、丙酮、异丙醇、乙腈、二氯甲烷、丁酮、乙酸乙酯、四氢呋喃、四氯化碳、环己烷、苯、1-2二氯乙烷、乙酸异丙酯、二氧六环、吡啶、甲苯与乙酸丁酯的残留量均应符合规定。
-----------------------------------
---
溶剂 RART值
甲醇 0.182
丙酮 0.482
异丙醇 0.529
乙腈 0.571
二氯甲烷 0.649
正丙醇 1.000
丁酮 1.264
乙酸乙酯 1.343
四氢呋喃 1.454
四氯化碳 1.686
环己烷 1.701
苯 1.941
1,2-二氯乙烷 1.879
乙酸异丙酯 2.014
二氧六环 2.838
甲基异丁基酮 2.404
吡啶 3.023
甲苯 3.053
乙酸丁酯 3.386
-----------------------------------
--
N,N-二甲基甲酰胺与二甲基亚砜 取本品约0.2g,置10ml量瓶中,加甲醇溶解并稀释至刻度,摇匀,作为供试品溶液;另取N,N-二甲基甲酰胺与二甲基亚砜,精密称定,用甲醇定量稀释制成每1ml中分别含N,N-二甲基甲酰胺17.6μg与二甲基亚砜100μg的溶液,作为对照品溶液。照残留溶剂测定法(通则0861第三法)测定,以5%苯基-95%二甲基聚硅氧烷(或极性相似)为固定液的毛细管柱为色谱柱,起始温度为70℃,维持12分钟,再以每分钟50℃的速率升温至120℃,维持10分钟;进样口温度为200℃,检测器温度为250℃,取对照品溶液直接进样,按N,N-二甲基甲酰胺、二甲基亚砜的顺序出峰,两峰间的分离度应符合要求。精密量取供试品溶液与对照品溶液分别进样,记录色谱图,按外标法以峰面积计算,N,N-二甲基甲酰胺与二甲基亚砜的残留量均应符合规定。
水分 取本品,照水分测定法(通则0832第一法1)测定,含水分不得过3.0% 。
炽灼残渣 取本品1.0g,依法检查(通则0841),遗留残渣不得过0.2% 。
重金属 取炽灼残渣项下遗留的残渣,依法检查(通则0821第二法),含重金属不得过百万分之二十。
【含量测定】 照高效液相色谱法(通则0512)测定。
色谱条件与系统适用性试验 用十八烷基硅烷键合硅胶为填充剂;水-甲醇(55:45)为流动相;检测波长为240nm;柱温为40 ℃。取头孢泊肟酯对照品适量,加适量甲醇溶解,再用流动相稀释制成每1ml中约含头孢泊肟1mg的溶液,取20μl注入液相色谱仪,记录色谱图,按头孢泊肟酯异构体A、B的顺序出峰,头孢泊肟酯异构体A、B峰之间的分离度应大于4.0;头孢泊肟酯异构体A峰与相邻杂质峰、头孢泊肟酯异构体B峰与相邻杂质峰间的分离度均应符合要求。
测定法 取本品,精密称定,加适量甲醇溶解,再用流动相定量稀释制成每1ml中约含头孢泊肟0.3mg的溶液,作为供试品溶液,精密量取20μl注入液相色谱仪,记录色谱图;另取头孢泊肟酯对照品适量,同法测定。按外标法以头孢泊肟酯异构体A、B峰面积和计算供试品中C
15H
17N
5O
6S
2的含量。
【类别】 β-内酰胺类抗生素,头孢菌素类。
【贮藏】 密封,在阴凉干燥处保存。
【制剂】 (1)头孢泊肟酯干混悬剂 (2)头孢泊肟酯片 (3)头孢泊肟酯胶囊
-----------------------------------
------------------------------
附:
1. 色谱图

头孢泊肟酯已知杂质的相对保留时间
-----------------------------------
------------
杂质名称 相对保留时间(RRT)
-----------------------------------
------------
杂质A 0.07
杂质B-Ⅰ 0.69
头孢泊肟酯异构体A 0.76
头孢泊肟酯异构体B 1.00
杂质C+杂质B-Ⅱ 0.85
杂质D-Ⅰ 0.91
杂质D-Ⅱ 1.14
杂质F-Ⅰ 1.26
杂质F-Ⅱ 1.32
杂质G 1.48
杂质H-Ⅰ 1.76
杂质H-Ⅱ 1.78
-----------------------------------
-------------
2. 杂质
杂质A

(6R,7R)-7-[(Z)-2-(2-氨基噻唑-4-基-2-(甲氧基亚氨基)乙酰氨基]-3-(甲氧基甲基-8-氧代-5-硫杂-1-氮杂双环[4.2.0]辛-2-烯-2-羧酸
杂质B

(1RS)-1-[[(1-甲基乙氧基)羰基]氧基]乙基(6R,7R)-7-[[(2Z)-2-(2-氨基噻唑-4-基)-2-(甲氧亚氨基)乙酰基]氨基]-3-甲基-8-氧代-5-硫杂-1-氮杂双环[4.2.0]辛-2-烯-2-羧酸酯(头孢泊肟酯的ADCA-类似物)
杂质C

(1RS)-1-[[(1-甲基乙氧基)羰基]氧基]乙基(6R,7R)-7-[[(2Z)-2-(2-氨基噻唑-4-基)-2-(甲氧亚氨基)乙酰基]氨基]-3-(甲氧基甲基)-8-氧代-5-硫杂-1-氮杂双环[4.2.0]辛-3-烯-2-羧酸酯(△-3-头孢泊肟酯)
杂质D

(1RS)-1-[[(1-甲基乙氧基)羰基]氧基]乙基(6R,7R)-7-[[(2E)-2-(2-氨基噻唑-4-基)-2-(甲氧亚氨基)乙酰基]氨基]-3-(甲氧基甲基)-8-氧代-5-硫杂-1-氮杂双环[4.2.0]辛-2-烯-2-羧酸酯(反式头孢泊肟酯)
杂质E

(1RS)-1-[[(1-甲基乙氧基)羰基]氧基]乙基(6R,7R)-3-(乙酰氧基甲基)-7-[[(2Z)-2-(2-氨基噻唑-4-基)-2-(甲氧亚氨基)乙酰基]氨基]-8-氧代-5-硫杂-1-氮杂双环[4.2.0]辛-2-烯-2-羧酸酯(头孢泊肟酯的ACA-类似物)
杂质F

(1RS)-1-[[(1-甲基乙氧基)羰基]氧基]乙基(6R,7R)-7-[[(2Z)-2-(2-甲酰氨基)噻唑-4-基)-2-(甲氧基亚氨基)乙酰基]氨基]-3-(甲氧基甲基)-8-氧代-5-硫杂-1-氮杂双环[4.2.0]辛-2-烯-2-羧酸酯(N-甲酰基头孢泊肟酯)
杂质G

(1RS)-1-[[(1-甲基乙氧基)羰基]氧基]乙基(6R,7R)-7-[[(2Z)-2-(2-乙酰氨基)噻唑-4-基)-2-(甲氧亚氨基)乙酰基]氨基]-3-(甲氧基甲基)-8-氧代-5-硫杂-1-氮杂双环[4.2.0]辛-2-烯-2-羧酸酯(N-乙酰基头孢泊肟酯)
杂质H

1-[[(1-甲基乙氧基)羰基]氧基]乙基(6R,7R)-7-[[(2Z)-2-[2-[[(2R)-2-[[(2Z)-2-(2-氨基噻唑-4-基)-2-(甲氧基亚氨基)乙酰基]氨基]-2-[(2R)-5-(甲氧基甲基)-4-[[1-[[(1-甲基乙氧基)羰基]氧基]乙氧基]羰基]-3,6-二氢-2H-1,3-噻嗪-2-基]乙酰基]氨基]噻唑-4-基]-2-(甲氧基亚氨基)乙酰基]氨基]-3-(甲氧基甲基)-8-氧代-5-硫杂-1-氮杂双环[4.2.0]辛-2-烯-2-羧酸酯(头孢泊肟酯二聚体)的非对应异构体的混合物
杂质I

(1RS)-1-[(异丙氧羰基)氧基]乙基(6R,7R)-7-[(Z)-2-[2-[(异丙氧羰基)氨基]噻唑-4-基]-2-(甲氧基亚氨基)乙酰氨基]-3-(甲氧基甲基)-8-氧代-5-硫杂-1-氮杂双环[4.2.0]辛-2-烯-2-羧酸酯
杂质J

(1RS)-1-[(异丙氧羰基)氧基]乙基(6R,7R)-7-[(Z)-2-[2-氨基噻唑-4-基]-2-(甲氧基亚氨基)乙酰氨基]-3-(甲氧基甲基)-8-氧代-5-硫杂-1-氮杂双环[4.2.0]辛-2-烯-2-羧酸酯5-氧化物
杂质K

(1RS)-1-[(异丙氧羰基)氧基]乙基(6R,7R)-7-[(E)-2-[2-氨基噻唑-4-基]-2-(甲氧基亚氨基)乙酰氨基]-3-(甲氧基甲基)-8-氧代-5-硫杂-1-氮杂双环[4.2.0]辛-2-烯-2-羧酸酯5-氧化物
关键字:头孢