头孢哌酮{1to ubaopaito ng Cefoperazone
本品为(6R,7R)-3-[[(1-甲基-1H-四唑-5-基)硫]甲基]-7-[(R)-2-(4-乙基-2,3-二氧代-1-哌嗪碳酰氨基)-2-对羟基苯基-乙酰氨基]-8-氧代-5-硫杂-1-氮杂双环[4.2.0]辛-2-烯-2-甲酸。按无水物计算,含头孢哌酮(C
25H
27N
9O
8S
2)不得少于95.0%。
【性状】 本品为白色或类白色结晶性粉末;无臭;有引湿性。
本品在丙酮或二甲基亚砜中溶解,在甲醇或乙醇中微溶,在水或乙酸乙酯中极微溶解。
比旋度 取本品,精密称定,加磷酸盐缓冲液(取1mol/L磷酸二氢钾溶液,用10mol/L氢氧化钾溶液调节pH值至6.0)-乙腈(90:10)溶解并定量稀释制成每1ml中约含30mg的溶液,依法测定(通则0621),比旋度为-30°至-38°。
【鉴别】 (1)取本品约10mg,加水2ml与盐酸羟胺溶液[取34.8%盐酸羟胺溶液1份,醋酸钠-氢氧化钠溶液(取醋酸钠10.3g与氢氧化钠86.5g,加水溶解使成1000ml)l份,乙醇4份,混匀]3ml,振摇溶解后,放置5分钟,加酸性硫酸铁铵试液1ml,摇匀,显红棕色。
(2)在含量测定项下记录的色谱图中,供试品溶液主峰的保留时间应与对照品溶液主峰的保留时间一致。
【检查】 酸度 取本品,加水制成每1ml中含10mg的混悬液,依法测定(通则0631),pH值应为2.0~4.0。
水分 取本品,照水分测定法(通则0832第一法1)测定,含水分不过6.0%。
【含量测定】 照高效液相色谱法(通则0512)测定。
色谱条件与系统适用性试验 用十八烷基硅烷键合硅胶为填充剂;以三乙胺醋酸溶液(取三乙胺14ml与冰醋酸5.7ml,加水稀释至100ml,摇匀)-乙腈-水(1.2:120:880),并用冰醋酸调节pH值至3.0±0.2为流动相;检测波长为254nm。取头孢哌酮对照品、杂质A对照品(先以乙腈溶解)及头孢哌酮S异构体对照品适量,加少量磷酸盐缓冲液(取0.2mol/L磷酸二氢钠溶液39.0ml与0.2mol/L磷酸氢二钠溶液61.0ml,混匀,用磷酸调节pH值至7.0)溶解,再用流动相稀释制成每1ml中各含0.2mg的混合溶液,取20μl注入液相色谱仪,按杂质A、头孢哌酮和头孢哌酮S异构体的顺序出峰,各峰间的分离度均应符合要求。
测定法 取本品约50mg,精密称定,置100ml量瓶中,先加上述磷酸盐缓冲液适量助溶后,再用流动相稀释至刻度,摇匀,作为供试品溶液,精密量取20μl注入液相色谱仪,记录色谱图;另取头孢哌酮对照品,同法测定。按外标法以峰面积计算,即得。
【类别】 β-内酰胺类抗生素,头孢菌素类。 ‘
【贮藏】密封,冷处保存。
-----------------------------------
---------------------------
附:
杂质A

(5aR,6R)-6-[[(2R)-2-[[(4-乙基-2,3-二氧代哌嗪-1- 基)甲酰基]氨基]-2-(4-羟基苯基)乙酰基]氨基]-5a,6-二氢-3H,7H-氮杂环丁二烯并[2,1-b]呋喃并[3,4-d][1,3]噻嗪-1,7(4H)-二酮
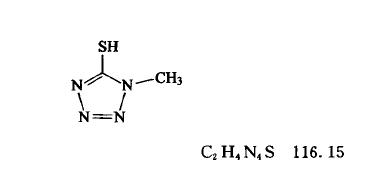
杂质C

1-甲基-5-巯基四氮唑
关键字:头孢