硫酸庆大霉素Liusuan QingdameisuGentamicin Sulfate
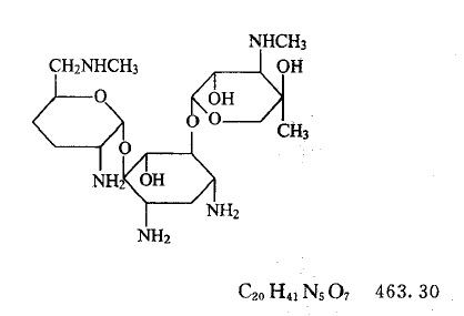
本品为庆大霉素C
1、C
1a、C
2、C
2a等组分为主混合物的硫酸盐。按无水物计算,每1mg的效价不得少于590庆大霉素单位。
【性状】 本品为白色或类白色的粉末;无臭;有引湿性。
本品在水中易溶,在乙醇、丙酮或乙醚中不溶。
比旋度 取本品,精密称定,加水溶解并定量稀释制成每1ml中约含50mg的溶液,依法测定(通则0621),比旋度为+107°至+121°。
【鉴别】 (1)取本品与庆大霉素标准品,分别加水制成每1ml中含2.5mg的溶液,照薄层色谱法(通则0502)试验,吸取上述两种溶液各2μl,分别点于同一硅胶G薄层板(临用前于105℃活化2小时)上;另取三氯甲烷-甲醇-氨溶液(1:1:1)混合振摇,放置1小时,分取下层混合液为展开剂,展开,取出于20~25℃晾干,置碘蒸气中显色,供试品溶液所显主斑点数、位置和颜色应与标准品溶液主斑点数、位置和颜色相同。
(2)在庆大霉素C组分测定项下记录的色谱图中,供试品溶液各主峰保留时间应与标准品溶液各主峰保留时间一致。
(3)本品的红外光吸收图谱应与对照的图谱(光谱集485图)一致。
(4)本品的水溶液显硫酸盐的鉴别反应(通则0301)。
以上(1)、(2)两项可选做一项。
【检查】 酸度 取本品,加水制成每1ml中含40mg的溶液,依法测定(通则0631),pH值应为4.0~6.0。
溶液的澄清度与颜色 取本品5份,各0.4g,分别加水5ml使溶解,溶液应澄清无色;如显浑浊,与1号浊度标准液(通则0902第一法)比较,均不得更浓;如显色,与黄色或黄绿色2号标准比色液(通则0901第一法)比较,均不得更深。
硫酸盐 取本品约0.125g,精密称定,加水100ml使溶解,用浓氨溶液调节pH值至11,精密加入氯化钡滴定液(0.1mol/L)10ml及酞紫指示液5滴,用乙二胺四醋酸二钠滴定液(0.05mol/L)滴定,注意保持滴定过程中的pH值为11, 滴定至紫色开始消褪,加乙醇50ml,继续滴定至紫蓝色消失,并将滴定的结果用空白试验校正。每1ml氯化钡滴定液(0.1mol/L)相当于9.606mg硫酸盐(SO
4),本品含硫酸盐按无水物计算应为32.0%~35.0%。
有关物质 精密称取西索米星对照品和小诺霉素标准品各适量,加流动相溶解并定量稀释制成每1ml中约含西索米星和小诺霉素各25μg、50μg和100μg的溶液,作为标准品溶液(1)、(2)、(3)。照庆大霉素C组分项下的色谱条件试验,精密量取标准品溶液(1)、(2)、(3)各20μl,分别注入液相色谱仪,记录色谱图,计算标准品溶液浓度对数值与相应峰面积对数值的线性回归方程,相关系数(r)应不小于0.99;另精密称取本品适量,加流动相溶解并定量稀释制成每1ml中约含庆大霉素2.5mg的溶液,同法测定,记录色谱图至庆大霉素C
1峰保留时间的1.2倍,供试品溶液色谱图中如有西索米星峰、小诺霉素峰,用相应的线性回归方程计算西索米星、小诺霉素的含量。含西索米星不得过硫酸庆大霉素2.0%,小诺霉素不得过3.0%。除硫酸峰和亚硫酸峰外 (必要时用硫酸盐和亚硫酸盐定位),其他杂质峰按西索米星线性回归方程计算,单个杂质得过2.0%,总杂质不得过4.5%。供试品溶液色谱图中小于0.1%的杂质峰忽略不计。
水分 取本品,照水分测定法(通则0832第一法1)测定,含水分不得过15.0%。
炽灼残渣 不得过0.5%(通则0841)。
庆大霉素C组分 照高效液相色谱法(通则0512)测定。
色谱条件与系统适用性试验 用十八烷基硅烷键合硅胶为填充剂(pH值适应范围0.8~8.0);以0.2mol/L三氟醋酸溶液-甲醇(96:4)为流动相;流速为每分钟0.6~0.8ml;蒸发光散射检测器(高温型不分流模式:漂移管温度为105~110℃,载气流量为每分钟2.5L;低温型分流模式:漂移管温度为45~55℃,载气压力为350kPa)测定。取庆大霉素标准品、小诺霉素标准品和西索米星对照品各适量,分别加流动相溶解并稀释制成每1ml中约含庆大霉素总C组分2.5mg、小诺霉素0.1mg和西索米星25μg的溶液,分别量取20μl注入液相色谱仪,庆大霉素标准品溶液色谱图应与标准图谱一致,西索米星峰和庆大霉C1a峰之间,庆大霉素C2峰、小诺霉素峰和庆大霉素C2a峰之间的分离度均应符合规定;西索米星对照品溶液色谱图中主成分峰峰高的信噪比应大于20;精密量取小诺霉素标准品溶液20μl,连续进样5次,峰面积的相对标准偏差应符合要求。
测定法 精密称取庆大霉素标准品适量,加流动相溶解并定量稀释制成每1ml中约含庆大霉素总C组分1.0mg、2.5mg、5.0mg的溶液,作为标准品溶液(1)、(2)、(3)。精密量取上述三种溶液各20μl,分别注入液相色谱仪,记录色谱图,计算标准品溶液各组分浓度对数值与相应峰面积对数值的线性回归方程,相关系数(r)应不小于0.99;另精密称取本品适量,加流动相溶解并定量稀释制成每1ml中约含庆大霉素2.5mg的溶液,同法测定,用庆大霉素各组分的线性回归方程分别计算供试品中对应组分的量(C
tCx),并按下面公式 计算出各组分的含量(%,mg/mg),C
1应为14%~22%,C
1a应为10%~23%,C
2a+C
2应为17%~36%,四个组分总含量不得低于50.0%。

式中C
x为庆大霉素各组分的含量(%,mg/mg);
C
tCx为由回归方程计算出的各组分的含量(mg/ml);
m
t为供试品重量(mg);
V
t为体积(ml)。
根据所得组分的含量,按下面公式计算出庆大霉素各组分的相对比例。C
1应为25%~50%,C
1a应为15%~40%,C
2a+C
2应为20%~50%。

式中C
x'为庆大霉素各组分的相对比例。
细菌内毒素 取本品,依法检查(通则1143),每1mg庆大霉素中含内毒素的量应小于0.50EU。(供注射用)
【含量测定】 精密称取本品适量,加灭菌水定量制成每1ml中约含1000单位的溶液,照抗生素微生物检定法(通则1201)测定。可信限率不得大于7%。1000庆大霉素单位相当于1mg庆大霉素。
【类别】 氨基糖苷类抗生素。
【贮藏】 密封,在干燥处保存。
【制剂】 (1)硫酸庆大霉素片 (2)硫酸庆大霉素注射液 (3)硫酸庆大霉素缓释片 (4)硫酸庆大霉素颗粒 (5)硫酸庆大霉素滴眼液
附:

杂质A(西索米星)

组分C
2b(小诺霉素)
关键字:硫酸 霉素